Аланинаминотрансфераза или аланиновая трансаминаза (сокращенно АЛТ или Alt) – фермент, который функционирует внутри различных клеток человеческого организма.
АЛТ незаменимый компонент обмена аминокислот. В клетках фермент регулирует превращение аланина, который имеет много функций, вроде энергетического обеспечения нервных клеток, укрепления иммунитета, коррекции обмена различных веществ.

АЛТ содержится в:
- Печени (наиболее высокий уровень).
- Легких.
- Пожелудочной железе.
- Сердце.
- Почках.
- Мышцах.
Кровь содержит лишь небольшие количества данного вещества. Повышение уровня АЛТ является важным диагностическим критерием, который указывает на усиленное разрушение клеток вследствие различных патологий.
Для чего используется анализ крови АЛТ и АСТ
Особенно важное значение имеет определение активности аминотрансфераз для диагностики заболеваний печени, ведь наибольшее количество трансферазы обнаружено именно в ней. Это наблюдение используется для обнаружения заболеваний данного органа, которые не имеют внешних симптомов.
АЛТ в отличие от многих других компонентов, рассматриваемых при биохимическом анализе крови, изучен наиболее полно. Поэтому с его помощью можно выявить даже незначительные проблемы в организме. В некоторых случаях количество АЛТ сопоставляется с объемом других элементов в крови. Это позволяет сделать выводы о наличии патологий.

Например, нередко используется такой фермент как аспартатаминотрансфераза или АСТ. Он также синтезируется внутриклеточно, и в кровь попадает его ограниченное количество.
Отклонение от установленной в медицине нормы содержания аспартатаминотрансферазы, как и в случае с аланинаминотрансферазой, – проявление отклонений в работе некоторых органов.
Наиболее полное представление о характере патологии позволяет получить соотнесение содержащегося количества обоих ферментов. Если наблюдается превышение количества аланинаминотрансферазы над аспартатаминотрансферазы, то это свидетельствует о разрушении клеток печени.
Уровень АСТ резко повышается на поздних стадиях заболевания этого органа, таких как цирроз. Когда уровень аспартатаминотрансферазы превышает содержание аланинаминотрансферазы, наблюдаются проблемы с сердечной мышцей.
Подтвердить наличие заболевания и степень поражения органов позволяют дополнительно проводимые методы диагностики. Однако АЛТ является точным показателем, в отдельных случаях с его помощью можно установить даже стадию заболевания и предположить возможные варианты его развития.
Когда назначается анализ на АЛТ
Количество аланинаминотрансферазы при проблемах с печенью помогает выявить их ещё до появления наиболее характерного симптома – желтухи. Поэтому анализ на АЛТ врач назначает чаще всего с целью проверить наличие повреждений этого важного органа в результате приема лекарственных препаратов или какие-либо других веществ, являющихся токсичными для организма. Также исследование проводится при подозрениях на гепатит.
Анализ на АЛТ обязателен при наличии таких симптомов, как повышенная утомляемость и слабость пациента. Он теряет аппетит, часто чувствует тошноту, переходящую в рвоту.
Желтые пятна на коже, боли и дискомфорт в животе, пожелтение глазных белков, светлый кал и темная моча – все это может быть признаком заболевания печени. В таких случаях обязательно требуется данный анализ. Обследование на ранней стадии и правильное лечение спасут вам жизнь, а, возможно, и позволят избежать дальнейших трудностей.

Как сдавать анализ на АЛТ
- Активность аланинаминотрансферазы в кровотоке определяют при биохимическом анализе крови.
- Это исследование используется для выявления различных веществ.
- Всего существует более 500 химических соединений, которые можно выявить таким путем.
При анализе на АЛТ определяют степень активности именно свободного фермента, находящегося в кровотоке.
Повышенное количество говорит о том, что в организме идет интенсивное разрушение клеток, содержащих это вещество.
Показатель АЛТ часто определяется вместе с другими трансаминазами (самые распространенные – АЛТ и АСТ).
Для получения правильных результатов нужно соблюдать следующие правила:
- Сдавать кровь лучше всего с утра, натощак. Прием пищи может оказать влияние на ферментативную активность печени и поджелудочной, из-за чего результаты будут завышены. Поэтому делать анализ нужно минимум через 8 часов после последнего приема пищи;
- Нужно исключить алкоголь в любом виде за 7 дней до сдачи крови, ведь он влияет на печень гораздо больше, чем обычная еда;
- Некоторые медикаментозные средства приводят к изменению уровня аланинаминотрансферазы, к ним относятся: оральные контрацептивы, ацетилсалициловая кислота, парацетамол, варфарин. Если вы принимаете что-либо из этого списка, сообщите этот факт вашему доктору.
Количественный анализ на гепатит С и В: норма, таблица
Норма АЛТ в крови
В медицинских исследованиях при расшифровке анализа важен верхний порог нормы АЛТ. Пределом у взрослого мужчины считается 45 ед/л, у женщины 34 ед/л.
АЛТ у детей колеблется в зависимости от возраста:
- У новорожденных до 5 дней: АЛТ не должен превышать 49 Ед/л. (АСТ до 149 Ед/л.)
- Для детей до полугода этот показатель выше – 56 Ед/л.
- В возрасте от полугода до года количество АЛТ в крови может достигать 54 Ед/л
- От года до трех – 33 Ед/л, но постепенно нормальное количество фермента в крови снижается
- У детей от 3 до 6 лет его верхняя граница составляет 29 Ед/л.
- В 12 лет содержание аланинаминотрансферазы должно быть менее 39 Ед/л
У детей допускаются незначительные отклонения от нормы. Это связано с неравномерным ростом. Со временем количество фермента в крови должно стабилизироваться и приблизиться к нормальному.
Что значит если уровень АЛТ понижен
АЛТ может быть понижена в редких случаях, что подтверждает серьезные патологии в организме и нужно выяснить причины их возникновения.
Причины понижения АЛТ связаны со следующими заболеваниями:
- Наличие инфекции в мочеполовой системе;
- Злокачественные новообразования в организме;
- Заболевания пищеварительной системы;
- Недостаток пиридоксальфосфата, что является следствием неправильного питания и злоупотребления спиртных напитков;
- Серьезные изменения в печени;
- Недостаток или избыток витамина В6.
Низкие показатели АЛТ чаще регистрируют у недоношенных детей.

Что показывает повышение АЛТ
Повышение АЛТ свидетельствует о протекании воспалительных процессов в организме. Они могут быть вызваны следующими заболеваниями:
- Гепатит. Это воспалительное заболевание печени может быть представлено в нескольких формах. Для хронического или вирусного гепатита превышение уровня аланинаминотрансферазы в крови незначительно. При гепатите А анализ АЛТ даёт возможность заблаговременно выявить инфекцию. Вирусный или алкогольный гепатит сопровождается ярко выраженным повышением уровня АЛТ. Если гепатит С имеет желтушную форму, в анализе крови также будет превышен уровень билирубина. Показатель АСТ и АТЛ при гепатите С без желтушной формы является единственным сигналом о начале заболевания. После выздоровления пациента печёночные ферменты приходят в норму.
- Рак печени. Данная злокачественная опухоль часто образуется у больных гепатитом. Анализ на АЛТ в таком случае необходим как для диагностики заболевания, так и для принятия решения об операционном решении. Когда уровень аланинаминотрансферазы значительно превышает норму, проведение хирургического вмешательства может быть невозможно, так как велик риск возникновения различных осложнений.
- Панкреатит. О наличии данного заболевания также говорит уровень АЛТ. Его повышенное количество свидетельствует об обострении панкреатита. Анализ на АЛТ пациентам с таким диагнозом придется периодически проводить на протяжении всей жизни. Это поможет избежать приступов заболевания и наблюдать за ходом лечения.
- Миокардит. Он проявляется в поражениях сердечной мышцы. Основными его симптомами является одышка, быстрая утомляемость больного и повышенное содержание АЛТ в крови. Для диагностики данного заболевания определяется уровень АСТ, а затем рассчитывается коэффициент де Ритиса.
- Цирроз. Это заболевание опасно тем, что долгое время может не иметь ярко выраженной симптоматики. Пациенты быстро утомляются, чувствуют усталость. Реже возникают боли в области печени. В таком случае определить цирроз можно по повышенному содержанию АЛТ в крови. При циррозе печени количество фермента в крови может превышать норму в 5 раз.
- Инфаркт Миокарда. Данное заболевание является следствием нарушения кровотока, в результате чего происходит некроз тканей сердечной мышцы. В случае неосложненного инфаркта уровень АЛТ повышается незначительно по сравнению с АСТ, тем не менее может использоваться для определения приступа.
Если АЛТ или АСТ у мужчин или женщин выше нормы целесообразно посчитать коэффициент де Ритиса – соотношение АСТ к АЛТ. В норме его значение составляет 1,33±0,42.
Повышение коэффициента де Ритиса больше 2 говорит о поражении сердечной мышцы (то есть, АСТ преобладает над АЛТ). При инфаркте миокарда либо остром миокардите АСТ повышен в 8-10 раз, а АЛТ всего в 2.
Как берут биопсию печени: как проводится процедура
Если же коэффициент де Ритиса менее 1 (то есть преобладает АЛТ), то можно смело говорить о поражении гепатоцитов (клеток печени). Например, при активном вирусном гепатите концентрация АЛТ возрастает в 10 раз, в то время как АСТ превышает норму всего в 2-3 раза.

Аланинаминотрансфераза повышена при беременности – что это значит
У женщин количество аланинаминотрансферазы ограничено 34 Ед/л. Однако в первом триместре беременности возможно незначительное превышение этого значения. Это не считается отклонением и не свидетельствует о развитии какого-либо заболевания. В целом уровень АЛТ и АСТ на протяжении беременности должен быть стабильным.
Небольшое увеличение количества ферментов данной группы наблюдается при гестозах. Они в таком случае имеют легкую или среднюю тяжесть. Гестоз – это осложнение, которое бывает на поздних сроках беременности. Женщины испытывают слабость, головокружение и тошноту. У них повышается артериальное давление.
Чем больше отклонение АЛТ от нормы, тем тяжелее протекает гестоз. Это результат слишком большой нагрузки на печень, с которой она не может справиться.

Причины повышения АЛТ, не связанные с заболеваниями
Повышать уровень АЛТ в крови могут и дргуие причины, например, некоторые лекарственные средства, такие как эстрогены, пероральные контрацептивы, холестатики, стероиды, соли железа, никотиновая кислота, сульфаниламиды, метилдопа, азитромицин, аминогликозиды, цефалоспорины, фторхинолоны, клофибрат, клиндамицин.
В отдельных случаях причиной повышения уровня аланинаминотрансферазы становятся физиологические причины:
- Повышенная физическая нагрузка;
- Прием БАДов, содержащих компоненты, отрицательно влияющие на клетки печени;
- Употребление алкогольных напитков за неделю до срока сдачи анализа крови на АЛТ;
- Эмоциональные нагрузки, которые могу привести к сбоям в работе нервной системы, и как следствие, реакции организма на это;
- Неправильное питание – в частности, употребление продуктов с вредными пищевыми добавками: полуфабрикатов, «быстрой еды», сладких газированных напитков и т.д. – в этом случае при корректировке рациона показатель АЛТ возвращается к норме.
Конечно, в основном уровень фермента увеличивается из-за других проблем со здоровьем, но именно по вышеперечисленным причинам показатель может быть увеличен, но незначительно.
Как снизить АЛТ в крови
Если анализ крови АЛТ повышен, то необходимо провести более полное обследование с целью выявления причины данного изменения. И чем раньше это будет сделано, тем намного благополучнее будет исход.
Чаще всего для снижения показателей АЛТ назначают гепатопротекторы:
- Гептрал;
- Эссенциале Н;
- Карсил;
- Тыквеол.
Эти препараты обладают многочисленными эффектами. Прежде всего, они защищают клетки печени от дальнейших повреждений, а также восстанавливают уже поврежденные, но еще не погибшие клетки.
Алт в биохимическом анализе крови: что это такое, норма, как лечить
Что такое АЛТ, надо ли его лечить — вопросы, которые внезапно начинают интересовать пациентов, увидевших высокое значение этого параметра в результатах биохимического анализа крови. Часто заболевший человек даже не знает, что такое биохимия крови.
- Биохимический анализ крови: расшифровка у взрослых, норма АЛТ АСТ
Биохимический анализ крови – это емкое и информативное исследование, способное дать исчерпывающий ответ на вопрос о состоянии здоровья пациента. АЛТ (аланинаминотрансфераза) – один из параметров биохимического анализа крови, один из многих, но важный. Аланинаминотрансфераза синтезируется внутри клеток организма в очень небольших объемах, а потому ее избыток будет свидетельствовать о серьезных нарушениях в физиологии человека. Более подробно про АЛТ — в основном материале статьи.
Аланинаминотрансфераза

АЛТ – это эндогенный фермент. Коннотация «эндогенный» означает, что это вещество синтезируется организмом, а не поступает в него с пищей или каким-нибудь другим способом извне. Ферментами в химии принято называть особые вещества, которые помогают осуществляться биохимическим реакциям. В неорганической химии употребляют в этом же значении другой термин – катализатор.
Кроме АЛТ, в теле человека синтезируются другие важные ферменты: аспартатаминотрансфераза (АСТ), щелочная фосфатаза, г-глутамилтрансфераза, креатинкиназа (ММ, МВ, ВВ), α-амилаза.
- Что такое амилаза в биохимическом анализе крови
Все эти вещества имеют важное значение в жизнедеятельности человеческого организма. Креатинкиназа, например, – важный участник энергетического обмена в тканях, α-амилаза помогает расщеплять глюкозу на более простые органические соединения, АЛТ и АСТ осуществляют обратимые биохимические реакции аминокислот аланина и аспартата (аминокислотный обмен).
Ценность аланина в том, что он способен быстро превращаться в глюкозу, способствуя своевременному энергоснабжению органов человеческого организма. Аспартат – важный участник азотистого обмена. И аланин, и аспартат играют важную роль в образовании лейкоцитов – клеток иммунной системы, что делает эти ферменты необходимой частью здорового иммунитета.
Функциональная схожесть АЛТ и АСТ объясняется их родственными биохимическими свойствами, данный факт позволил использовать ферменты в качестве единого биохимического маркера. Это не означает, что АЛТ ничего сам по себе не представляет, как параметр – вместе со значениями уровня АСТ он дает более полноценную клиническую картину состояния здоровья пациента.

Разберемся поэтапно, как именно работает АЛТ в парной диагностике с уровнем АСТ. АЛТ присутствует в порядке убывания по количеству в следующих органах – печень, почки, сердце, скелетные мышцы; АСТ – сердце, печень, головной мозг, скелетная мускулатура. И АЛТ, и АСТ находятся в клетках, в кровь ферменты попадают только во время их гибели и распада.
Поэтому норма содержания этих веществ в крови крайне незначительна. Когда же происходит массовая гибель клеток, вызванная патологией или механическими повреждениями органов, уровень ферментов в крови может увеличиваться в 5, 10 и больше раз.
Врач-диагност, оценивая результаты анализа, способен по содержанию АЛТ и АСТ узнать месторасположение патологии, степень ее развития, угрозу здоровью.
Если превышен уровень АЛТ и АСТ, но АЛТ ощутимо больше – вероятно, поражена печень (надо отметить, что в качестве «печеночных маркеров» ферменты – наиболее авторитетные показатели).
- Печеночные показатели биохимического анализа крови: что это, нормы
Если превышен АСТ, а АЛТ нет – поражен мозг, например, инсультом. Если уровни обоих ферментов увеличены и находятся в приблизительно одинаковых значениях – поражена мышечная ткань скелетной мускулатуры, сильно повышен уровень АСТ, а АЛТ меньше, но тоже выше нормы – поражена мышечная ткань сердца. Подробнее в видео:
Норма АЛТ
Получив на руки бланк с результатами анализа биохимии крови, пациент видит перед собой цифры и названия параметров. Эта информация ничего ему не скажет, если он не знает диапазон норм, в котором значения параметров будут считаться опасными или безопасными для здоровья человека. Ниже опубликованы таблицы значений АЛТ с нормами для мужчин, женщин и детей.

Патологические состояния, при которых АЛТ повышен
Больше всего аланинаминотрансферазы находится в клетках печени. Поэтому основной причиной резкого повышения фермента в организме станет массовая гибель клеток печени. Наиболее серьезные заболевания печени – это гепатиты различной этиологии, цирроз печени, рак печени.
Внимание! Характерная особенность перечисленных патологий печени – отсутствие явной симптоматики. Развитие указанных заболеваний печени проходит преимущественно безболезненно, без повышения температуры и других типичных для внутренних воспалительных процессов признаков.
Гепатиты различной этиологии

Термин «гепатит» происходит от греческих слов ἡπατῖτις, ἥπαρ – «печень». Типология гепатитов в медицинской науке основывается на их этиологии. Всего существует 4 типа гепатитов: инфекционный, токсический, лучевой и аутоиммунный.
- Причиной инфекционного гепатита могут быть самые разные патогенные инвазии: вирусы, начиная от простого герпеса и заканчивая особенными вирусами гепатита (А, B, C, D, E, F, G); бактерии – лептоспира и бледная трепонема; простейшие – дизентерийная амеба; гельминты – токсоплазмы, печеночная двуустка.
- Причиной токсического гепатита могут быть яды различного вида: металлические яды (свинец, висмут), грибные яды, некоторые виды медицинских препаратов. Но наиболее частая причина токсических гепатитов в отечественной медицинской практике – это системное отравление алкоголем. Отсутствие понимания последствий при постоянном употреблении спиртных напитков – печальная особенность менталитета стран постсоветского пространства. Это не голословное утверждение, а озвучивание данных медицинской статистики за текущее десятилетие – алкогольный гепатит составляет три четверти всех случаев токсического гепатита.
- Причина лучевого гепатита – радиоактивный фактор, следствие прогрессирующей лучевой болезни. Тело страдающего лучевой болезнью человека буквально распадается заживо, выделяется огромное количество токсинов, которые печень вывести не в состоянии.
- Причиной аутоиммунного гепатита будет мощная аллергическая реакция организма на антиген или аутоиммунное заболевание на определенной стадии развития. Медицинская наука выделяет два типа аутоиммунных гепатитов – АИГ-1 и АИГ-2. Характерно, что лечение гепатитов аутоиммунного типа основывается на ингибиции уровня ферментов АЛТ и АСТ в крови.
Цирроз
Патологическое состояние клеток печени, необратимое замещение паренхиматозной ткани печени фиброзной. Однажды начавшись, цирроз печени будет продолжаться до тех пор, пока вся паренхима не заменится фиброзной тканью. Причиной цирроза могут быть гепатиты различной этиологии. В национальной культуре цирроз прочно связан с последствиями длительного злоупотребления алкоголем.
Рак печени
Гепатоцеллюлярная карцинома – именно так называют медики рак печени, сложнейшее онкологическое заболевание, способное развиться из гепатита любой этиологии, эволюционное продолжение цирроза печени.

Другие патологические состояния, при которых уровень аланинаминотрансферазы повышен
Печень – не единственная причина, способная вызвать повышение уровня аланинаминотрансферазы, но самая существенная. Уровень АЛТ может резко увеличиться во время инфаркта миокарда, панкреатита, сильного стресса, ревматоидного артрита, миопатии скелетных мышц, приема нестероидных противовоспалительных препаратов (аспирин, диклофенак, ибупрофен), парацетамола и лекарств, содержащих экстракты лекарственной валерианы, эхинацеи пурпурной.
Лечебно-профилактические меры снижения уровня АЛТ
Итак, мы узнали, что такое АЛТ в биохимическом анализе крови, осталось узнать, как правильно реагировать на болезненные состояния, связанные с повышением этого фермента.

Конечно, лечить само повышение не требуется, избыток АЛТ – это лишь характерный признак некоторых патологических состояний в организме. Необходимо лечить сами заболевания, которые вызвали повышение фермента, а также принять определенные профилактические меры по смягчению их клиники – отказ от алкоголя, строго сбалансированная диета, здоровая экология, меньше источников радиоактивного излучения (летнее солнце – тоже источник радиации), постоянная гигиена и здоровый образ жизни.
Внимание! Симптоматическое лечение высокого уровня АЛТ все же имеет место в медицинской практике, например, в случае лечения аутоиммунного гепатита. При этом используют препараты ефитол, гептрал, дюфалак. Все препараты применяются только по назначению врача!
Алт в крови — что это за показатель, нормы и причины отклонения
Для диагностики некоторых болезней внутренних органов используется анализ на биохимию крови. АЛТ анализ крови распространен, но что это, знают далеко не все пациенты.
Что это такое и почему повышается уровень фермента? Можно проконсультироваться со специалистом о наличии в организме пациента повышенного показателя АЛТ в крови, но изучить вопрос самостоятельно также не помешает. Прежде всего, АЛТ указывает на нарушение в работе печени и прочих органов.
Малые отклонения могут означать ошибки в питании, но норма АЛТ, увеличенная в десятки раз указывает на серьезный сбой в работе основных органов, в частности симптомы заболевания печени.
Что такое АЛТ
АЛТ — аланинаминотрансфераза, фермент, вырабатываемый печенью. Процесс синтеза аланинового фермента происходит внутри клетки. В крови, в норме, находится небольшое количество рассматриваемого вещества. Цифры, превышающие норму на 300-500% говорят о проблемах сердца, почек и печени. Это вещество является активным участником аминокислотных процессов и является их катализатором.
Забор крови, вне зависимости от ее группы, на значимые показатели АЛТ печени относятся к печеночным пробам. Его скачки по сравнению с нормой, превышающие стандартные показатели, явно указывает на неполадки в печени. При сбое в сердце, цифры АЛТ не столь важны. Но в этой ситуации решающим будет соотношение АСТ и АЛТ.
Для чего применяют такой анализ
Назначают биохимию крови с измерением АЛТ, если есть подозрения на патологии печени, которые протекают без внешних симптомов. Из всех компонентов, АЛТ в крови, знаком специалистам глубже остальных. Это свидетельствует, что при помощи такого исследования можно заметить даже небольшие изменения в организме.
Для лучшего исследования в биохимическом анализе в лаборатории сопоставляют с объемами других ферментов, например, АСТ (аспартатаминотрансфераза). Если АЛТ завышен больше, чем АСТ — происходит поражение тканей печени. Уровень АСТ резко повышается уже на поздних стадиях некоторых патологий, например, цирроза.
Если соотношение наоборот в пользу АСТ, то проблема, скорее всего в сердце. Соотношение этих ферментов называется коэффициентом де Ритиса. Если его показатель увеличивается больше двух — проблема в сердце.
Если коэффициент меньше 1 — заболевания связаны с печенью. Нормой считается показатели коэффициента 1-1.75. Чем меньше цифра в этом показателе, тем хуже прогноз для пациента.
Говорить об ухудшении состояния врач может, проследив динамику цифровых данных на основе нескольких анализов за короткий период времени.
Какова норма тромбоцитов у детей?
В некоторых случаях показатели АЛТ помогут диагностировать не только болезнь данного органа, но и ее стадию.

Врачи не считают данный метод наиболее точным для диагностики, но подтверждают, что при помощи данного анализа можно выявить некоторые патологии в самом начале. Эти показатели играют важную роль в ранней диагностики. Это касается не только печеночных заболеваний, но и изменений в сердечно-сосудистой системе.
Показания для назначения биохимии крови на АЛТ
В биохимическом анализе крови обязательно вычисляют АЛТ, который бывает выше нормы. Сигналом к проверке такого фермента являются такие симптомы и состояние человека:
- пациент не хочет есть;
- в районе живота испытывает боль;
- отмечен желтый оттенок кожи и белков глаз;
- тошнота, которая заканчивается рвотой;
- одновременное потемнение мочи и высветление кала.
Это распространённые признаки печеночных патологий, которые обычно диагностируются при увеличенном ферменте.
Правила проведения забора анализа на АЛТ
Для выяснения точных показателей необходимо провести забор анализа по всем правилам. Их несколько:
- кровь нужно брать из вены;
- последний раз кушать — за 10 часов до процедуры (натощак утром);
- нельзя пить алкоголь минимум за 7 дней до похода в лабораторию;
- за 20 минут до процедуры следует расслабиться, не курить и не нервничать.
Сдача анализа крови обычно проходит с утра. При этом результат можно узнать через день. Расшифровка анализа крови должна осуществляться врачом. Результат измеряется в ммоль, но чаще в Ед/л.

Нормальные показатели у мужчин и женщин
Нормы АЛТ могут различаться у пациентов по возрасту и полу. Примерные показатели нормы таковы:
- детки до 5 суток — 49 Ед/л;
- младенцы до 6 месяцев — до 56 Ед/л;
- полгода — год — норма 54 Ед/л;
- в возрастной период до 3-х лет показатель до 33 Ед/л;
- затем цифры в норме уменьшаются до 29 Ед/л;
- в 12 лет уровень чуть возрастает и поднимается до 39.
Неравномерный рост у детей может провоцировать скачки фермента, но это является вариантом нормы.
Цифры у взрослых колеблется от пола. Для сильного пола цифры — до 45 Ед/л, а у женщин — 34 Ед/л.
Повышение цифр АЛТ
АЛТ повышен может быть на разные показатели. Это определяет отклонения, которые есть у пациента.
- Легкий вариант превышения — в 1.5-5 раз;
- Среднее отклонение — в 6-10 раз;
- Высокий риск — от 10-кратного увеличения.
При скачке цифр фермента в 5 раз можно подозревать инфаркта миокарда. Если гепатит, то возрастание alt получается в 20-50 раз. При гангрене повышение составляет 3-5 раз. Мышечная дистрофия и прочие патологии соединительной ткани выдают цифры выше в 8-10 раз.

Возможные патологии
Повышенные цифры alt в биохимии крови может указывать на такие патологии:
- Рак печени. Опухоли и злокачественные клетки провоцируют гибель печеночных клеток и повышение уровня АЛТ. В такой ситуации врач направляет пациента на биохимию крови не только для диагностики, но и для прогноза на оперативное вмешательство. Если цифры фермента взлетели в сотни раз, то хирургическое вмешательство нежелательно, поскольку есть риск опасных осложнений. Анализ АЛТ может быть повышен и после химиотерапии.
- Гепатит. Вне зависимости о формы гепатита уровень АЛТ повышается еще до того, как появляются первые симптомы в виде развития желтухи. Показатель АЛТ резко повышается при вирусных и алкогольных видах гепатита.
- Панкреатит. В этой ситуации показатели возрастают при обострении. Поэтому пациенты с хроническим панкреатитом должны сдавать анализ крови на АЛТ постоянно по указанию врача, чтобы контролировать обострения. Так получится избежать приступов.
- Цирроз. Болезнь не имеет ярко-выраженных симптомов, а потому очень опасна. Анализ крови АЛТ бывает повышен в 5 раз. Помогает своевременно диагностировать опасную патологию печени.
- Миокардит. При этом заболевании поражается мышца сердца. У пациентов возникает одышка, он быстро устает. Для диагностики измеряется АЛТ и АСТ в крови, а затем подсчитывается коэффициент де Ритиса. Этот коэффициент означает и показывает, какое соотношении двух показателей. На основе этих цифр можно определить конечный диагноз.
- Инфаркт. Эта болезнь характеризуется отмиранием и рубцеванием сердечной мышцы. Если инфаркт неосложненный, то по сравнению с АСТ, АЛТ немного увеличивается. Но в совокупности по этим двум цифрам легко определить болезнь.
- Мононуклеоз. Еще одна причина повышенного АЛТ. При этой болезни поражается не только печень, но и селезенка. Также меняется состав крови.
- Нарушения в функционировании поджелудочной железы — показатель возникает перед приступами и обострениями.

Возможные причины
Если АЛТ повышен, что это значит? Не всегда незначительное увеличение АЛТ — болезнь. Есть вполне безобидные причины:
- прием запрещенных веществ и частое злоупотребление алкоголем;
- увлечение фаст-фудом;
- прием сильнодействующих препаратов;
- лечение химеотерапией;
- интоксикация свинцом;
- шок психологического характера;
- оперативное вмешательство накануне анализа;
- повреждения мягких тканей;
- беременность.
Причиной повышения АЛТ может стать и утомление, как физическом смысле, так и в психологическом. Даже стресс перед забором анализа может отрицательно сказаться на конечной цифре в исследовании.
При беременности количество уровень фермента повышается в первые 3 месяца. Это незначительный скачок, который является вариантом нормы. В конце периода вынашивания ребенка увеличенные цифры АЛТ могут указать на наличие гестоза. Гестоз — осложнение во время беременности, которое повышает риск перинатальной смерти. Страдает патологией примерно 30% беременных женщин.

Важно, не впадать в панику. Если пациент сам расшифровывает анализы и пытается назначить себе лечение, это часто приводит к еще большему ухудшению самочувствия. Поэтому при имеющихся сомнениях врач для постановки диагноза применяет и другие диагностические методы.
Как понизить уровень фермента в крови
Прежде всего, нельзя прибегать к самолечению. Постановкой диагноза следует заниматься специалисту. Только врач должен делать выводы. Он же и поставит по имеющимся показателям диагноз и назначит необходимо лечение. Уровень ферментов понижается после того, как устранена причина их повышения. Если вылечить патологию, из-за которой вырос уровень АЛТ, то он придет в норму.
Лечащий специалист при высоком уровне АЛТ назначает терапию. В нее могут входить такие препараты, как Карсил, Гепатамин, Гептрал, а также Дюфалакс и Гефитол.
Для скорого достижения результата следует скорректировать диету и добавить туда следующие виды питания:
- свежие овощи;
- капуста броколли;
- свежие фрукты;
- нежирную рыбу и мясо;
- яйца курицы;
- кисломолочные продукты.
При коррекции меню важно снизить содержание жиров в рационе. Также исключаются продукты быстрого приготовления, соленые, маринованные, квашенные блюда.

Также используются народные средства в лечение таких заболеваний. Но их применять необходимо только после консультации с врачом.
Рецепт настоя с расторопшей:
- Чайную ложку семян залить стаканом кипящей воды.
- Плотно закрыть.
- Настоять полчаса.
- Процедить настой и пить дважды в сутки по 250 мл.
На протяжении лечения биохимический анализ крови следует сдать еще несколько раз. Так лечащий специалист сможет наблюдать динамику лечения.
Анализ в крови АЛТ это современный метод лабораторной диагностики, на основе результатов которого есть возможность поставить диагноз заболеваний печени, сердечно-сосудистой системы, а также некоторых других органов.
Используется не только как средство диагностики, но и при лечении. На основе данного анализа можно проследить динамику лечения, а также возможность провести оперативное вмешательство при раке печени.
Важно не заниматься самолечением, а обращаться за расшифровкой лабораторных данных к специалисту.
Алт в анализе крови: что это, особенности проведения и расшифровка :
АСТ является ферментом, который содержится в клетках. Его назначение – обеспечивать катализ процесса трансформации оксалоацетата в аспартам. Соединение играет важную роль в почечной, печёночной и сердечной тканях. Кроме того, данное вещество имеется в клетках поперечнополосатой мускулатуры скелета, а также в клетках ткани нервов.
Если в анализе крови АЛТ повышен, что это значит? Разберемся в данной статье.

Что это такое?
Фермент под аббревиатурой АСТ обозначает аспартатаминотрансферазу, активно участвующую в обмене аминокислот, происходящем в организме.
Соединение попадает в кровь только в тех случаях, когда клетки разрушаются или повреждаются во время развития того или иного заболевания, травмирования органов. Кроме АСТ, при осуществлении биохимического анализа концентрации ферментов в кровяном русле вычисляется ещё и содержание в анализе крови АЛТ. Что это значит?
Под АЛТ подразумевается наличие ферментативного печёночного белка — аланинаминотрансферазы, являющейся белком-катализатором в тех процессах, которые напрямую связаны с обменом аминокислот, происходящим в организме. Наивысшей активностью данное соединение характеризуется в клеточных структурах почечной и печёночной ткани. В незначительном количестве этот фермент представлен в поперечнополосатой мускулатуре и сердечных тканях.
Поскольку АЛТ относится к ферментам, характеризующимся только клеточным базированием, содержание его в кровяном русле относительно невысокое.
Что отражает анализ крови на АСТ и АЛТ?
Для того чтобы определить причины, вызвавшие заболевание, и установить правильный диагноз, требуется проведение анализа только на АЛТ или АСТ. Расшифровывается биохимический анализ только в том случае, если показатель содержания ферментов выше нормы, а значит, в организме есть процессы, детерминированные поражениями различных участков печени. В этом случае нарушение может отличаться разносторонним характером.

Многим интересно, если в анализе крови АЛТ повышен, что это значит. Разберемся.
Речь идёт о таких процессах, как:
- цирроз печени;
- поражения печёночных клеток вследствие медикаментозного или алкогольного отравления;
- дефекты печени вследствие влияния на неё возбудителей гепатита вирусного типа.
Что еще может вызвать повышение?
Кроме перечисленных выше факторов, норма АСТ и АЛТ в анализе крови (что это, мы пояснили) может повышаться из-за воздействия интенсивной физической нагрузки, ишемического или механического поражения тканей, при ожогах тяжёлой степени.
Содержание ферментов определяется посредством биохимических методов. Чтобы сведения для расшифровки обладали максимальной достоверностью, кровь при осуществлении анализа необходимо сдавать только в утреннее время. До того как кровь будет взята, не разрешается употреблять какую-либо пищу, так как сдавать анализ нужно только натощак. Материал во время проведения исследования берётся из локтевой вены человека. Расшифровка анализа крови АЛТ будет представлена ниже.
Кому требуется обследование?
Анализ ALT может назначаться при наличии у пациента ряда жалоб и при подозрении на возникновение заболеваний печени. Подтолкнуть к этому могут следующие факторы:
- подозрения на нарушения функционирования печени, если пациент жалуется на подозрительные симптомы;
- диагностирование состояния печени во время терапии препаратами сильного действия;
- при обнаружении гепатита у лиц, с которыми осуществляется контактирование;
- при лечении зависимости от спиртных напитков.

В этих случаях и нужен анализ крови АЛТ и АСТ. Большое значение имеет проведение анализа лицам, которые получают химическую терапию. Благодаря ему можно определить состояние, в котором находится печень, чтобы в случае необходимости своевременно произвести корректировку лечения.
Биохимический анализ осуществляется одновременно с контролем ещё одной трансаминазы, то есть АСТ. При повышении в крови норм АЛТ врачи подозревают наличие у пациента заболеваний печени. Наоборот, при преобладании АСТ у пациента, вероятнее всего, обнаружатся сердечные патологии.
Рассмотрим подробнее, что делать, если повышены в анализе крови АСТ и АЛТ.
Расшифровка, пределы нормы и её отклонения
Для получения достоверных показателей ферментов в биохимическом анализе его расшифровкой должны заниматься только высококвалифицированные опытные специалисты. Показатели нормы для каждого из ферментов, которые содержатся в крови, определяются конкретной их концентрацией.
АЛТ варьируется в пределах от 31 до 41 единицы на литр, что зависит от пола пациента. Так, у женщин в норме наблюдается более низкая концентрация АЛТ по сравнению с мужскими показателями. Чтобы получить точные результаты, нужно определить пропорцию степени активности каждого фермента.
Увеличение коэффициента может стать свидетельством появления и развития в человеческом организме первопричин инфаркта миокарда. Если же данный показатель понижается, то можно судить о развитии инфекционного гепатита. Но чаще в анализе крови АЛТ повышены. Что это значит, теперь понятно.

Аминотрансферазы имеют различную тканевую специализацию — каждый из данных ферментов размещается в определённом типе ткани. Если содержание какого-либо фермента отклоняется от нормы, то это сигнализирует о наличии патологии, связанной с теми или иными органами, где фиксируется наивысшее количество АСТ и АЛТ.
Возможно использование расшифровки анализа в качестве признака, по которому производится исследование состояния мышцы сердца (миокарда) и дефектов функций ткани печени.
Если наблюдается повышение содержания фермента, то есть подозрение на наличие в организме пациента определённых патологий в функционировании каких-либо органов.
Во время разрушения и гибели тканевых клеток, которые являются составляющими органа, осуществляется выплеск ферментов в русло крови. Концентрация веществ увеличивается, что является определяющим фактором в постановке диагноза и дальнейшей расшифровки результатов анализа крови.
Норма АСТ, превышенная в два или более раз, с точностью подтверждает наличие в организме пациента предпосылок для появления приступа инфаркта миокарда. Если повышен АЛТ в анализе крови, то в организме в большинстве случаев происходит развитие инфекционного гепатита (инкубационный период).
При сниженной норме показателей АЛТ и АСТ можно говорить о дефиците витамина группы В гиридоксина. Следует помнить, что его недостаток может быть обусловлен не только изменениями патологического характера, но и в период беременности может наблюдаться подобная картина.
Каким образом сдаётся кровь для исследования?
У пациента берётся венозная кровь исключительно натощак. Для максимальной точности показателя АЛТ большое значение имеет также соблюдение всех необходимых правил подготовки к анализу. Время ожидания результатов может разниться в зависимости от лаборатории. Если она частная, то анализ будет готов уже на следующий день.
АЛТ в анализе крови — что это? Часто пациенты задают такой вопрос.

Чем обусловлено отклонение от нормы АСТ и АЛТ?
Активность в крови АЛТ прямо зависит от тяжести протекания и степени вирусного гепатита. Чем тяжелее протекает патологический процесс, тем выше уровень активности фермента.
Если возник особенно серьёзный случай, то анализ крови может отразить такую активность АЛТ, которая превышает норму в пять и более раз.
Применение метода биохимического анализа позволит определить патологию ещё на начальном этапе его развития в организме, то есть тогда, когда у болезни отсутствует более или менее чёткая симптоматика.
Благодаря анализу крови АЛТ и АСТ можно с высокой точностью установить состояние человека и сложность протекания определённой болезни. Уровень данных ферментов может повышаться в крови при наличии в организме пациента следующих патологий:
- цирроза печени;
- гепатита различных форм;
- рака печени;
- поражений ткани печени вследствие медикаментозного и токсического отравления.
Что еще это может означать?
Кроме того, отклонения от нормы могут быть обусловлены такими заболеваниями, как:
- панкреатит;
- инфаркт миокарда либо сердечная недостаточность;
- получение ожогов на обширных участках тела;
- шоковые состояния, имеющие различное происхождение;
- некроз скелетных тканей.
Если АЛТ понижается, то можно говорить о недостатке в человеческом организме витамина В6, а также поражений ткани печени вследствие некроза обширного характера. Уменьшение АЛТ преимущественно обусловлено разрушением и гибелью клеток, составляющих ткань печени и вырабатывающих фермент.
Чем чревато, если АЛТ в анализе крови повышен?

Возможные патологии
АЛТ в биохимическом анализе может свидетельствовать в первую очередь о заболеваниях печени. Как только врачом получен данный анализ, необходимо проведение дополнительной диагностики этого органа. Если фермент повышен, то это может указывать на наличие гепатита. Такое заболевание очень серьёзное и может иметь как токсическое, так и вирусное происхождение. В настоящее время специалисты различают шесть видов гепатита вирусного характера, различающихся в зависимости от типа инфекции.
Какие еще патологические состояния можно диагностировать, если повышены в анализе крови АЛТ и АСТ?
Гепатит является опасным потому, что протекает на первых стадиях без проявления каких-либо симптомов, а если пациент уже почувствовал недомогание, то оно поддаётся лечению с большим трудом. Гепатит токсического характера появляется из-за отравляющего влияния на организм вредных веществ (при частом контакте с химическими производственными выбросами, употреблении наркотических веществ, чрезмерного количества спиртных напитков).
Рассмотрим другие патологии, при которых изменяется концентрация исследуемых ферментов в анализе крови. Итак, если АЛТ повышен в анализе крови, что это значит?
- Цирроз печени, который является неизбежным исходом любых разрушительных процессов, происходящих в данном органе. При данном заболевании соединительная ткань разрастается и замещает живые клетки. Данная патология опасна возникновением печеночной недостаточности и летальным исходом.
- Панкреатит. Данное заболевание тоже может быть выявлено благодаря исследованию анализа крови на АЛТ. При хроническом воспалении поджелудочной железы разрушаются тканевые клетки. Главными причинами развития панкреатита можно назвать неправильное питание, камни в желчных протоках и злоупотребление спиртными напитками.
- Инфаркт миокарда. Данная патология способствует отмиранию участков мышечной ткани сердца. Инфаркт диагностируется посредством измерений показателей АСТ и АЛТ в анализе крови. Норму мы привели выше.

Средние показатели АЛТ
Норма АЛТ у каждого человека может отличаться. Нормальный показатель мужчин – до 45 единиц на литр крови, у женщин же – не более 31 единицы. Нормы у детей вообще разнятся в зависимости от возраста. Данные показатели изменяются до 16 лет. Именно поэтому расшифровка АЛТ в анализе должна проводиться квалифицированным специалистом.
Биохимический анализ крови у детей проводится непосредственно после рождения по предписанию педиатра. Назначить анализ младенцу могут и в том случае, если его живот сильно увеличен. Кроме того, такое исследование проводится у ребёнка при риске вирусного гепатита.
Во время расшифровки необходимо брать в расчёт техническую лабораторную базу. Шкала единиц может иметь отличия, связанные с используемым оборудованием, и во время расшифровки необходим их перевод в стандартные величины. Сделать это может только специалист.
Теперь мы знаем, что это — АЛТ в анализе крови.
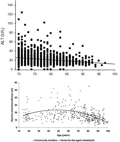
Алт — маркер скорости старения печени и риска смертности
Аланинаминотрансфераза (АЛТ) синтезируется внутриклеточно, и в норме лишь небольшая часть этого фермента попадает в кровь.

Повышение АЛТ, превышающее повышение АСТ, характерно для повреждения печени; если же показатель АСТ повышается больше, чем повышается АЛТ, то это, как правило, свидетельствует о проблемах клеток миокарда (сердечной мышцы).
Повышение активности АЛТ и/или АСТ может быть вызвано приемом некоторых лекарственных средств (большей частью вследствие токсического влияния на печень). Также повышение АЛТ может быть маркером различных болезней печени.
Например, дефицита лизосомной кислой липазы.
Снижение активности АЛТ в плазме крови возможно при почечной недостаточности, дефиците пиридоксина (витамина Б6), после повторных процедур гемодиализа, во время беременности.
Аланинаминотрансфераза (АЛТ)синтезируется внутриклеточно, и в норме лишь небольшая часть этого фермента попадает в кровь. При повреждении печени (при гепатитах, циррозе печени) в результате цитолиза (разрушения клеток) этот фермент попадает в кровь, что выявляется лабораторными методами.
Обычно считается, что люди с заболеваниями печени и повышенным АЛТ имеют больше шансов умереть в результате заболевания печени. Однако, это не подтверждается исследованиями. Снижение АЛТ с возрастом связано также не с саркопенией (из-за снижения мышечной АЛТ), так как нет корреляции между АЛТ и мышечной массой.
Снижение АЛТ с возрастом связано именно с уменьшением количества клеток печени — с её старением.
Ссылки на исследования и источники:
- www.ncbi.nlm.nih.gov/pmc/articles/PMC4085878
- www.ncbi.nlm.nih.gov/pubmed/16181369

Как показали исследования, снижение АЛТ с возрастом ниже 17-14 Ед.л повышает смертность от всех причин.
Ссылки на исследования и источники:
- www.ncbi.nlm.nih.gov/pubmed/22158663
Аланинтрансаминаза (АЛТ), как видно на графике имеет тенденцию к снижению после 70 лет. Высокий АЛТ повышает смертность в 8 раз, как не парадоксально, только если при этом у человека Индекс массы тела ниже среднего — менее 22. А при индексе массы тела от 22 и выше — АЛТ выше нормы не связана со смертностью. Интересно также, что АЛТ сначала повышается годам к 50-ти, а потом имеет тенденцию к снижению. Это видимо потому, что к 50 годам люди набирают лишний вес, что отражается на АЛТ — печень выбрасывает в кровь больше АЛТ из повреждённых клеток. А потом после 50 лет количество клеток печени уменьшается, и уменьшается синтезируемый ими АЛТ.
АЛТ имеет потенциальную ценность в качестве нового биомаркера старения. В исследованиях снижение АЛТ ниже 14-17 Ед.л как у возрастных людей, так и у молодых повышает риск смертности. Как видно на графике АЛТ в рамках нормы ниже среднего связана с более высокой смертностью, чем АЛТ выше среднего в рамках нормы.
Ссылки на исследования и источники:
- www.ncbi.nlm.nih.gov/pmc/articles/PMC4085878
- www.ncbi.nlm.nih.gov/pubmed/16181369
Предыдущие исследования показали, что низкие уровни АЛТ связаны с повышением смертности и слабости у пожилых людей.Однако низкий АЛТ может быть прогностическим признаком слабости и смертности от всех причин у молодых и у людей среднего возраста, что показано на 23 506 пациентах, которых наблюдали 8,5 лет. АЛТ ниже 17 Ед.л. Повышает риск смертности от всех причин.Статистически значимая зависимость оставалась даже после поправки на возраст, пол, диабет, СКФ, низкий альбумин, артериальную гипертензию, сахарный диабет и ишемическую болезнь сердца.
Ссылки на исследования и источники:
- www.ncbi.nlm.nih.gov/pubmed/25468741
Старение связано с сокращением некоторых печеночных функций, включая глюконеогенез. Поэтому, снижение циркулирующей активности АЛТ может отражать старение печени.
Ссылки на исследования и источники:
- www.ncbi.nlm.nih.gov/pmc/articles/PMC4085878
- www.ncbi.nlm.nih.gov/pubmed/16181369
- www.ncbi.nlm.nih.gov/pmc/articles/PMC4972366
Более высокий АЛТ связан с повышеным риском смертности от сердечно-сосудистых заболедований и от заболеваний печени. Рекомундуется консультация гепатолога. Клиника Майо колледж медицины, США
Ссылка на исследование:
- https://onlinelibrary.wiley.com/doi/10.1002/hep.22109/full
Рекомендуемое значение АЛТ 17-30 Ед.л — для мужчин и 14-30 для женщин
Меня часто спрашивают, где я сдаю анализы. Раньше я сдавал некоторые анализы через поликлинику. Но сейчас это стало проблемно. Я живу в Москве. В Москве хорошая лаборатория по соотношению цена-качество на мой взгляд — ДНКОМ — ссылка на лабораторию ДНКОМ.
Я не сдаю анализы в непроверенных лабораториях, так как некоторые виды анализов в них делают крайне некорректно.
Если у Вас возникнут вопросы по лаборатории ДНКом, то вы можете их задать напрямую директору ДНКом и получить оперативный ответ — Диалог с Андреем Исаевым — директором ДНКом
Предлагаем Вам оформить почтовую подписку на самые новые и актуальные новости, которые появляются в науке, а также новости нашей научно-просветительской группы, чтобы ничего не упустить.
Уважаемые читатели ресурса www.nestarenie.ru. Если Вы думаете, что статьи настоящего ресурса полезны для Вас, и желаете, чтобы этой информацией могли пользоваться и другие люди многие годы, то имеет возможность помочь в развитии этого сайта, потратив на это около 2-х минут Вашего времени. Для этого кликните по этой ссылке.
Рекомендуем ещё почитать следующие статьи:
Аланинаминотрансфераза повышена: норма, причины

Хотя повышенный уровень АЛТ не однозначно говорит о возникновении проблем со здоровьем, тем не менее и тот и другой фермент просто так не присутствует в крови в больших объемах.
Да, уровень и АЛТ, и АСТ может повышаться при нарушениях в печени (например, при циррозе или гепатите), но необходимо внимательно анализировать и другие маркеры. Кстати, уровень АлАТ может быть повышен, если диагностирован инфаркт миокарда.
АлАТ и АсАТ. Что это такое
Аминотрансферазы представляют собой группу ферментов, способных катализировать реакции трансаминирования, осуществляя ведущую роль в белковом обмене, а также поддерживая связь между обменом белков и углеводов. Наиболее значимыми природными катализаторами реакций трансаминирования в организме человека являются аланинаминотрансфераза (иначе АЛТ, АлАТ) и аспартатаминотрансфераза (иначе АСТ, АсАТ).
Эти ферменты присутствуют в тканях многих органов. В норме, аминотрансферазы практически не обнаруживаются в крови. Минимальная активность ферментов обуславливается естественными регенераторными процессами в организме. Повышение уровней АлАТ и АсАТ является высокочувствительными маркерами повреждения тканей, в которых они содержатся.
Метод определения аминотрансфераз в биохимическом анализе крови нашёл широкое применение в клинической практике, благодаря своей высокой чувствительности и специфичности.
АсАТ и АлАТ. Норма
В норме, аспартатаминотрансфераза не превышает 31 ЕД/л у женщин и 37 ЕД/л у мужчин. У новорождённых показатель не должен превышать 70 ЕД/л.
АлАТ у женщин в норме не превышает 35 ЕД/л, а у мужчин – 40 ЕД/л.
Также, результаты анализа могут быть представлены в молях/час*л (от 0.1 до 0.68 для АлАТ и от 0.1 до 0.45 для АсАТ).
Что может влиять на показатели трансаминаз
К искажению результатов анализа могут приводить:
- употребление некоторых медикаментов:
- никотиновая кислота,
- иммунодепрессанты,
- холеретики,
- гормональные противозачаточные и т.д.),
- ожирение,
- беременность,
- гиподинамия либо чрезмерная физическая нагрузка.
Как проводится исследование
Для анализа берётся кровь из вены. Результаты при срочном исследовании предоставляют в течение 1-2 часов. При стандартной диагностике – в течение суток.
Для получения максимально достоверных результатов необходимо:
- исключить приём лекарственных средств за неделю до сдачи анализов (если это невозможно, необходимо уведомить врача о принимаемых препаратах);
- сдавать кровь исключительно натощак;
- за сутки до исследования исключается физическая нагрузка, курение, спиртные напитки, жирная и жареная пища – за два дня.
О чём может рассказать анализ на АЛаТ и АсАТ

- аланинаминотрансфераза: печень, почки, миокард, мышцы;
- аспартатаминотрансфераза: миокард, печень, мышцы, головной мозг, почки.
То есть, учитывая тканевую локализацию ферментов, АсАТ можно считать наиболее специфичным маркером поражения миокарда, а АлАТ – печени.
Внимание! Важно помнить, что при трактовке анализов, учитывается не только степень увеличения ферментов (она находится в прямой зависимости от тяжести патологического процесса), но и соотношение уровней аланинаминотрансферазы и аспартатаминотрансферазы.
Сопоставление активности ферментов позволяет оценить глубину повреждения клеточных структур. Это объясняется тем, что АлАТ локализируется в цитоплазме, а АсАТ в митохондриях и частично в цитоплазме.
Соотношение: аспартатаминотрансфераза / аланинаминотрансфераза, носит название коэффициента де Ритиса. Для здоровых людей показатель коэффициента находится в пределах от 0.91 до 1.75 и не имеет диагностической ценности. Расчёт соотношения необходимо проводить, когда в биохимическом анализе имеется отклонение от нормы.
Например, для заболеваний печени, чувствительным маркером считается аланинаминотрансфераза. При гепатите, её активность может увеличиваться более чем в 10-ть раз, однако выраженное повышение АсАТ у таких пациентов будет свидетельствовать о тяжёлом некрозе клеток печени.
Если уровень аспартатаминотрансферазы значительно превышает показатель АлАТ – это может указывать на наличие выраженных фиброзных изменений в печени у лиц, с хроническими гепатитами. Также такие изменения наблюдаются при хроническом алкоголизме и медикаментозном гепатите. В связи с этим, коэффициент де Ритиса имеет важное клиническое значение.
При гепатитах вирусной этиологии наблюдается снижение коэффициента ниже 1-го (чем ниже показатель, тем хуже прогноз заболевания). Показатели от единицы до двух – характерны для хронических заболеваний печени, сопровождающимися дистрофическими изменениями.
Повышение значения коэффициента выше 2-х может наблюдаться при некрозе клеток печени, как правило, это характерно для алкогольного цирроза.
При инфаркте миокарда показатель равен 2 и более.
Аспартатаминотрансфераза повышена, что это значит
В норме, трансаминазы попадают в кровоток только при естественных процессах отмирания старых клеток. Значительное повышение этих ферментов наблюдается, когда разрушение тканей происходит неестественным образом, то есть в результате травм, ишемии, дистрофических, воспалительных и некротических процессов, аутоиммунных реакций, тяжёлых интоксикаций, длительных физических и эмоциональных перегрузок, а также при наличии злокачественных новообразований.
Очень важно! Среди основных причин повышения аспартатаминотрансферазы первое место занимают сердечные патологии.
При остром инфаркте миокарда уровень АсАТ может увеличиваться в 20-ть раз от нормальных значений. Необходимо также отметить, что изменения в биохимических анализах отмечаются ещё до появления классических признаков инфаркта на ЭКГ.
- При острой коронарной недостаточности, увеличение аспартатаминотрансферазы диагностируется в течение суток, в дальнейшем значение фермента начинает снижаться, и в течение нескольких дней достигает нормальных значений.
- Уровень АсАТ также увеличивается при тяжёлых приступах стенокардии, выраженных нарушениях сердечного ритма, сопровождающихся приступами тахиаритмии, остром ревмокардите, тромбозе легочной артерии, у пациентов после ангиокардиографии или кардиологических операций
- «Внесердечными» причинами увеличения аспартатаминотрансферазы, чаще всего выступают заболевания печени различной этиологии. Это могут быть:
- гепатиты:
- алкогольного,
- вирусного,
- токсического генеза,
- циррозы,
- злокачественные новообразования (как с первичной локализацией в печени, так и метастазирующие в гепатобиллиарную систему),
- застой желчи (холестаз, связанный с обтурацией желчевыводящих протоков),
- воспаление жёлчного пузыря (холецистит) и желчных протоков (холангит).
Также, причинами повышения аспартатаминотрансферазы могут служить острый и хронический панкреатит, а также гнойные процессы (абсцессы и флегмоны) в забрюшинной клетчатке.
Умеренное увеличение ферментов наблюдается при повышенных физических нагрузках. При тяжёлых травмах, краш-синдроме (наблюдается разрушение скелетных мышц) уровни АлАТ и АсАТ могут возрастать многократно.
Редкими причинами увеличения уровня трансаминаз являются наследственные мышечные дистрофии, гемолиз, васкулиты и системные заболевания соединительной ткани, сопровождающиеся диффузными изменениями в печени и/или поражением миокарда.
Аланинаминотрансфераза повышена, что это значит

- острых гепатитах (чем выше АлАТ, тем выраженнее разрушение клеток, а сочетание с высоким АсАТ, свидетельствует о тяжёлом некрозе);
- обтурационных желтухах (закупорка жёлчных протоков при жёлчнокаменной болезни, лямблиозе и обтурации метастазом или опухолью);
- жировой дистрофии.
Важно. Следует знать, что при алкогольных циррозах повышение аланинаминотрансферазы значительно превышает её увеличение при злокачественных опухолях на начальных стадиях.
Другими причинами изменений в анализах могут служить острые панкреатиты, обширные ожоги, шоки (травматический, гиповолемический, кардиогенный), миодистрофии, тяжёлые заболевания крови, вирусные инфекции, постоянные погрешности в питании (злоупотребление жаренной, жирной, острой пищей), сильные физические и эмоциональные перегрузки.
Повышение трансаминаз у женщин
Внимание! Аминотрансферазы могут повышаться в первом триместре беременности, что является нормой.
Выраженное увеличение трансаминаз в третьем триместре, является плохим прогностическим признаком и свидетельствует о развитии тяжёлого гестоза.
Высокие значения аланинаминотрансферазы и аспартатаминотрансферазы в сочетании с резким подъёмом мочевой кислоты, креатинина и щелочной фосфатазы могут наблюдаться при эклампсии, сопровождающейся повреждением фильтрационного аппарата почек.
Специфические причины повышения АлАТ и АсАТ

Эхинококк может поражать сердце, печень и желчевыводящие пути, почки, головной и спинной мозг, легкие. Основные проявления заболевания будут зависеть от локализации паразита. Неспецифическими проявлениями эхинококкоза служат реакции аллергического характера неустановленной этиологии и выраженная эозинофилия.
Амёбные инвазии, как правило, проявляются по типу амёбной дизентерии, однако также встречаются внекишечные проявления – жировая дистрофия печени, абсцесс печени, амёбные метастазы в головной мозг, перикард и т.д. Начало заболевания проявляется болями в животе, диарей с примесью крови и слизи, при наличии очага в печени повышаются щелочная фосфатаза, АлАТ и АсАТ.
При лямблиозе, выраженное увеличение трансаминаз наблюдается при обтурации лямблиями желчных протоков.
Что делать, если трансаминазы повышены
Внимание. Важно понимать, что увеличение АлАТ и АсАТ не является самостоятельным диагнозом.
Это отражение происходящих в организме патологических процессов. Для назначения правильного лечения, необходимо пройти полное обследование и выявить причину изменения в анализах.
Подбором медикаментов и составлением схемы лечения должен заниматься квалифицированный специалист.
Что такое алт в биохимическом анализе крови
Норма АСТ и АЛТ у женщин – это одно из главных подтверждений здоровой печении и полноценной работы обменных процессов в организме. Анализ крови на АСТ и АЛТ обязательная диагностическая процедура, которая говорит о развитии заболеваний в печении, а также образовании опухолей и некроза тканей органа. Понижение или повышение АЛТ и АСТ говорит о патологии и требует немедленного медикаментозного вмешательства.
Показания к прохождению процедуры
Разобраться мало осведомленному человеку с составом биохимического анализа крови и его результатами достаточно непросто. Хотя абсолютно каждый человек стремится как можно быстрей узнать, что же говорит этот набор букв и цифр в бланке с результатами.
Алтаст в норме – это определенный тип белков, который содержится внутри большинства клеток внутренних органов. Они участвуют в процессе обмена аминокислот и способны попадать в кровь только в случае травмирования, разрушения или заболевания определенного внутреннего органа, как правило, это сердечная мышца или печень.
Хотя не редко причины повышения алтаст заключаются в заболевании почек и желудка.

Анализ АЛТ (alt) как и количество в крови АСТ (ast) дает врачу понятие о патологическом состоянии того или иного органа. Любые отличия от нормы, которая является четко фиксированной для мужчин и женщин, должны корректироваться. Анализ крови алтаст согласно международным нормам диагностики необходим в таких случаях:
- нарушения работы сердца;
- заболевания кровеносной системы;
- патологии печени;
- инфекции внутренних органов;
- гнойно-септические состояния;
- признаки асцита;
- почечная недостаточность;
- энцефалопатия;
- аутоиммунные заболевания;
- желчнокаменная болезнь;
- панкреатоз;
- эндокринные патологии;
- аллергические заболевания кожи;
- наличие злокачественных опухолей и метастазирование их;
- контроль лечения агрессивными медикаментозными препаратами;
- травмы грудной клетки с подозрением на ущемления внутренних органов.
Показанием к прохождению анализа также является наличие симптомов:
Что это значит, если аланинаминотрансфераза повышена?32162
- боль в правом подреберье;
- тошнота;
- рвота;
- желтизна кожных покровов и склер в глазах;
- увеличение объема живота;
- выраженные вены на животе;
- боль в области пупка;
- слабость во всем теле;
- помутнение сознания;
- ярко выраженная отдышка;
- тяжесть в груди, чувство жжения;
- потеря в весе.
Эти симптомы присущи множеству заболеваний, но это будет еще более веским поводом для обращения к врачу. Своевременная диагностика — залог успешного лечения. Лучше пройти диагностику и убедиться в своем отменном здоровье, чем проигнорировать ее, и бороться на протяжении длительного времени с последствиями своего пренебрежительного отношения к организму.
Проведение диагностики
Анализ крови на алат и асат – это практически безболезненная процедура, которая занимает до 15 минут времени. Норма АСТ и АЛТ у женщин определяется путем забора крови из вены. Врач перевязывает руку пациента жгутом для определения вены и протерев кожу антисептиком, осуществляет забор. Для точной диагностики достаточно 5 мл крови пациента. На место прокола накладывается пластырь по завершению процедуры, и человек может пойти домой.
Результаты, как правило, будут готовы на следующий день. Если вы хотите, чтобы биохимический анализ крови имел действительные показатели АСТ и АЛТ, необходимо за сутки до проведения процедур отказаться от тяжелой, жирной и острой пищи, а также не употреблять алкогольные напитки. Сам биохимический анализ крови должен проводиться на голодный желудок. Накануне не стоит пить газировку и кофе, разрешена только простая вода.

АСТ и АЛТ в крови может искажаться, если вы употребляете медикаментозные препараты. При наличии хронических болезней, рекомендовано проконсультироваться с доктором, он в индивидуальном режиме укажет какие препараты могут нарушить биохимический анализ крови, а какие лекарства, можно продолжить употреблять. Не редко в комплексе с АЛТ и АСТ лабораторные сотрудники берут печеночные пробы, они помогают подтвердить тот или иной диагноз, или опровергнуть заболевания этого органа.
Лабораторной анализ должен быть проведен на протяжении 6 часов после сдачи, иначе сыворотка крови изъята у пациента будет испорчена и любые показатели, что будут обнаруженными, станут недостоверными.
Показатели анализов
Расшифровка анализа крови АЛТ и АСТ осуществляется медицинским сотрудником, он сравнивает текущие показатели АЛТ и АСТ с идеальными цифрами, что содержит норма АЛТ и АСТ в крови здорового человека. У женщин уровень алатасат норма выглядит следующим образом:
- АЛТ – до 34 Ед/л. (0,5-1,5 мкмоль).
- АСТ – до 31 Ед/л.
АЛТ и АСТ повышены могут быть вследствие ряда заболеваний, если повышается в крови алат, то вполне вероятно, что причину нужно искать в повреждения печеночной ткани, в случае, когда АСТ повышены – причина в разрушении сердечной мышцы.
Биохимический анализ крови, который содержит повышенные АЛТ может говорить о наличии таких болезней, как:
- гепатит;
- панкреатит;
- рак печени;
- миокардит;
- цирроз;
- инфаркт.

Аланиновая трансаминаза повышаться может на начальных сроках беременности, но ко второму триместру АЛТ должна прийти в норму, иначе необходимо медикаментозное вмешательство. Если выявилось при исследовании, что нормальные показатели аспартатаминотрансферазы отличаются от текущих, то вероятно в организме имеет место:
- миокардит;
- ревмокардит;
- ревматизм;
- обширные травмы и ожоги;
- вирусный и алкогольный гепатит;
- холестаз;
- сердечная недостаточность;
- эндогенные интоксикации;
- миелобластный лейкоз;
- портальная гипертензия.
Все это очень серьезные диагнозы, но нужно сразу отметить, что АЛТ и АСТ в крови – это не причина развития недуга, а уже его следствие, ведь изначально, имело место повреждение органа, а уже потом в крови повышается количество трансаминазы. АСТ в крови может повышаться в анализе крови на биохимию, вследствие недавнего прохождения химиотерапии, наркотической зависимости, психологического шока, ожирения и повреждения мышечной ткани в организме.
Понижение показателей АСТ и АЛТ говорит о наличии заболеваний в мочеполовой системе, а также недостатке витамина В6. В некоторых случаях, пониженные показатели белков трансферазы могут являться следствием неправильно проведенного анализа.
Огромное значения в результатах анализа имеет именно соотношение АЛТ и АСТ между собой. Это соотношение в медицине называют коэффициентом де Ритса. Если он меньше единицы, то можно предполагать вирусный гепатит, если коэффициент больше или равен единице, то имеет место хронический гепатит и дистонические заболевания печени. Когда коэффициент больше двух или равен, то имеет место явное алкогольное поражение печени.
Как нормализовать показатели?
Аспарагиновая и алланиновая трансферазы – это явные маркеры развития патологии в организме. Задачей врача является точное определения причины, что спровоцировала повышения уровня этих ферментов и устранить ее. Высокий уровень крови этих белков устраняют в первую очередь коррекцией питания.
Снизить количество АЛТ в крови можно, добавив в свой рацион больше продуктов, содержащих витамин D. Хорошими источниками витамина D есть зеленые листовые овощи, рыба, молочные продукты, яйца, грибы и яблоки. Рекомендовано избегать продуктов с большим содержанием жиров, соли и натрия.
Врач может назначить прием кортикостероидов, а также противовоспалительных препаратов. Подбор лекарства осуществляется индивидуально.

Если имело место повышение АСТ, то корректировка будет происходить совершенно иначе. Недавние исследования подтвердили, что регулярное употребление незначительного количества кофеина, способствует восстановлению клеток печени. Назначить врач может статины и/или парацетамол.
Иногда, могут быть назначены диуретические средства и слабительные препараты, что направлены на выведение токсических веществ из организма, которые могли спровоцировать разрушения клеток органов.
Если поражение органов было спровоцировано употреблением агрессивных препаратов, то их обязательно исключить их из схемы терапии и включить более щадящие аналоги в курс лечения сопутствующих болезней.
Как расшифровать значение ГГТ в крови при биохимическом анализе?517630
В обязательном порядке нужно отказаться от употребления спиртных напитков и курения, а также соблюдать все рекомендации врача. Требуется пройти полную диагностику организма и терапию присутствующих недугов. Только комплексный подход к проблеме способен ускорить процесс восстановления организма.
Профилактика заболеваний – это лучшее, что вы можете сделать для своего организма. Сегодня существует множество недугов, которые имеют скрытое течение и проявляют себя, когда уже перешли в хроническое или острое течение.
К примеру, гепатит С, который еще называют ласковый убийца, может годами находиться в печени и разрушать ее пока на плановом обследовании не отмечается цирроз, и терапия будет носить кардинальный характер.
Чтобы избежать множества последствий и начать своевременно необходимое лечение, лучше проходить медицинские осмотры в качестве профилактики, раз в год, даже без выраженной потребности и присутствия тревожных симптомов.
Несмотря на то, что печень имеет свойство восстанавливать поврежденные участки, она не менее остальных органов нуждается в постоянной заботе и своевременном лечении. Помните и возможно вам удастся избежать потребности прохождения анализов на АЛТ и АСТ состав в крови, а также болезней этого важного органа.
Источник: 1diagnos.ru
Алт в анализе крови на биохимию: что это такое и почему повышен
Далеко не все пациенты гастроэнтерологов, получив на руки результаты биохимического исследования, знают, что такое АЛТ в анализе крови. Так сокращенно называют аланинаминотрансферазу – фермент, который необходим для нормального обмена и синтеза аминокислот.
По уровню АЛТ (АлАт) в крови можно судить о состоянии многих органов. У здорового человека он низкий, а увеличение является симптомом воспаления. Чтобы выявить причины заболевания, АЛТ сопоставляют с АСТ (аспартатаминотрансферазой).
Первый показатель специфичен для проблем печени, а второй – для болезней сердца.
Что такое и за что отвечают АЛТ и АСТ в биохимическом анализе крови
АЛТ является одним из ферментов, которые вырабатывают печеночные клетки. Обычно его концентрация в крови незначительная, но при разрушении клеток трансфераза попадает в кровяное русло, и ее уровень повышается.
Аланинаминотрансфераза содержится в клетках разных органов. Основное количество – в печени, почках, минимальная концентрация в сердце и мышцах.
Это вещество способствует повышению защитных свойств организма, регулирует выработку глюкозы. У представителей сильного пола АЛТ в анализе более высокий, чем у женщин, но это норма.
Аспартатаминотрансфераза (АСТ, АсАт) тоже необходима для белкового обмена и расщепления аминокислот. При отсутствии заболеваний ее концентрация незначительная. Вещество попадает в кровь при разрушении тканей, в которых находится. Большое количество аспартаттрансферазы находится в клетках сердца, нервной системы, печени, мышц и т. д. Завышение АСТ в анализе часто указывает на сердечные и печеночные патологии.
АЛТ и АСТ проявляют высокую чувствительность к воспалительным процессам тех органов, которые их вырабатывают. Выявить концентрацию этих показателей помогает биохимический анализ крови. Важно оценить уровень АлАт и АсАт вместе, чтобы получить более точные результаты. Комплексное исследование помогает установить патологию, ее стадию, составить предположительный прогноз.
Кому показано исследование
Врач может назначить анализ на уровень аминотрансфераз в таких случаях:
- беременность;
- патологии сердца, печени;
- контроль лечения;
- наличие симптомов инфаркта миокарда;
- травмы живота или груди;
- курс лечения медикаментами из группы B (сильнодействующие лекарства), которые нарушают работу печени или сердца. Например, антиретровирусная терапия при ВИЧ или прием антидепрессантов.
Анализ крови на АЛТ и АСТ показан при интоксикациях, аутоиммунных и эндокринных патологиях, аллергиях.
Анализ на АЛТ требует особой подготовки. Чтобы результаты были достоверными, необходимо соблюдать правила:
- За неделю до анализа начинайте держать диету, откажитесь от соленых, жирных, острых блюд, кондитерских изделий.
- Планируйте трапезу за 8 часов до процедуры.
- Откажитесь от сигарет за несколько часов до биохимического анализа.
- Пейте только фильтрованную воду без газа.
- Откажитесь от любого, даже самого слабого алкоголя.
- Избегайте чрезмерной физической активности, стрессов.
- Уменьшите количество яиц и кисломолочных продуктов в меню.
Перед анализом на трансаминазы запрещено проходить рентген, УЗИ, физиотерапию.
Расшифровка анализа крови на трансаминазы: нормы и патология
Анализ на содержание АлАт и АсАт – это важный метод диагностики, который помогает отследить, как организм отреагирует на раздражители. Например, на поражение гепатоцитов алкоголем, медикаментами, токсинами, жирной пищей и т. д. Количество аланиновой трансаминазы может увеличиваться при чрезмерной физической активности, ожогах, ишемии (поражение сердечной или мозговой ткани вследствие нарушения кровоснабжения), травмировании.
У здорового человека уровень АЛТ должен быть минимальным, что свидетельствует об отсутствии патологии. Однако норма этого вещества зависит от возраста, а также пола.
| Пол, возраст | Норма в Ед./л |
| Мужчины | До 45 |
| Женщины | Около 34 |
| Дети от 0 до 5 дней | До 49 |
| От 6 до 12 месяцев | 56 |
| От 1 до 3 лет | 33 |
| От 3 до 6 лет | 29 |
| Старше 12 лет | 39 |
Превышение верхней границы АЛТ возможно после того, как человек длительное время принимал определенные медикаменты (Ацетилсалициловая кислота, Парацетамол, гормональные контрацептивы). Вероятность получения недостоверного результата повышается после приема успокоительных (например, валериана), эхинацеи. Ложные результаты можно получить, если неправильно подготовиться к биохимическому анализу.
Если в организме действительно есть опасное заболевание, другие показатели в биохимии крови также будет иметь значительные отклонения.
Если количество АЛТ выше нормы в 10 раз, то необходимо посетить врача.
Концентрация АСТ в биохимическом анализе крови тоже зависит от возраста и пола:
| Пол, возраст | Норма АСТ в Ед./л | Замечание |
| Женщины старше 18 лет | От 31 до 35 | У будущих мам норма не меняется |
| Мужчины | От 45 до 50 | Аспартаттрансфераза у мужчин более активная, поэтому норма выше |
| Дети до 3 месяцев | 73 | Это нормальное значение, которое с возрастом снижается |
| Младенцы от 3 до 12 месяцев | 60 | |
| Дети от 1 до 12 лет | От 38 до 40 |
О болезни свидетельствует только повышение фермента. Если уровень аспартаттрансферазы низкий или даже равен 0, то это не опасно. Одновременное снижение концентрации обеих трансфераз может указывать на дефицит элементов группы B, а также гормональный дисбаланс во время вынашивания плода.
Степень повышения АСТ:
- умеренная – в 5 раз;
- средняя – в 10 раз;
- тяжелая – от 10 и более.
При среднем или тяжелом повышении уровня фермента нужна медицинская помощь.
Причины повышения и снижения ферментов печени
Завышение АЛТ в анализе крови является признаком таких болезней:
- Гепатиты разного происхождения. Воспалительное заболевание печени провоцирует увеличение АЛТ от 20 до 50 раз. Воспаление сопровождается разрушением гепатоцитов, и фермент проникает в кровяное русло из поврежденных клеток. Гепатит проявляется пожелтением кожи, слизистых, болью справа под ребрами, метеоризмом и т. д. Лабораторное исследование нередко показывает повышение билирубина (желчный пигмент). При гепатите А наблюдается умеренное повышение АЛТ за несколько недель до проявления характерных симптомов. Это дает возможность врачам своевременно остановить развитие болезни. При поражении печени, вызванном алкоголем или вирусами, показатель завышается сразу.
- Цирроз печени. Это хроническая патология, при которой гепатоциты погибают, а на их месте появляется соединительная ткань. При данном заболевании норма фермента выше в 5 раз.
- Инфаркт миокарда. При поражении миокарда вследствие закупорки одной из артерий тромбом часть мышцы отмирает, и трансаминазы попадают в кровяное русло. Больной ощущает сильную боль, которая иррадиирует на всю левую часть тела. Болевой синдром не исчезает на протяжении 30 минут. У пациента появляется отдышка, слабость, головокружение, паническая атака. АЛТ увеличивается в 5 раз, а если этот показатель дальше растет, то состояние пациента усугубляется.
- Сердечно-сосудистые болезни другого характера тоже приводят к тому, что количество фермента в крови повышается. При длительном течении патологии разрушаются мышцы сердца, одновременно увеличивается АЛТ. Тогда у больного проявляется отдышка, учащается сердечный ритм, возникает гипотония.
- Мышечная дистрофия. Для этого хронического заболевания характерно ослабление и уменьшение мышечной массы. АЛТ завышается в 8 раз. При повреждении целостности кожи (раны, ожоги) тоже повышается этот показатель.
- Панкреатит. Болезнь сопровождается болью в животе, резким похудением, метеоризмом, поносом. Уровень АЛТ в крови повышается от 3 до 5 раз. Чтобы избежать повторного обострения болезни, нужно контролировать концентрацию трансаминаз.
Аспартатаминотрансфераза повышена при таких болезнях:
- Заболевания сердечно-сосудистой системы. Инфаркт миокарда – это основная причина завышения АСТ. При поражении сердечной мышцы концентрация аспартаттрансферазы намного выше, чем АЛТ. Этот показатель увеличивается после операции на сердце.
- Печеночные патологии. Аспартатаминотрансфераза увеличивается при циррозе, алкогольном или вирусном поражении, злокачественных опухолях пищеварительной железы.
- Панкреатит (острая или хроническая форма) тоже становятся причиной завышения этого фермента.
Повышение аспартат-трансаминазы возможно при травмах или ожогах.
Как нормализовать активность печеночных ферментов
Увеличение АлАт и АсАт является признаком опасных болезней.
На результат может повлиять даже стресс перенесенный пациентом незадолго до исследования крови.
При отклонении значений нужно принять следующие меры:
- Дополнительно обследовать сердце, печень.
- Провести УЗИ, ЭКГ.
- Провести повторный биохимический анализ.
- Если есть подозрение на инфаркт, то состояние больного контролируют врачи.
- При гепатитах, вызванных вирусами, проводят медикаментозное лечение. Цель терапии – ускорить вывод желчи, нормализовать функциональность гепатоцитов.
- При поражении миокарда следует ограничить физическую активность, правильно питаться, спать не менее 8-10 часов за сутки. Иногда больной должен соблюдать постельный режим.
- При циррозе и раке печени проводят паллиативное (поддерживающее) лечение.
Чтобы нормализовать активность ферментов, нужно отказаться от вредных привычек, соблюдать диету.
Важно лечить основную болезнь, из-за которой трансаминазы повысились. Самолечение категорически противопоказано!
АЛТ и АСТ – это важные диагностические показатели, которые следует контролировать. Увеличение их концентрации всегда свидетельствует о заболеваниях. Важно знать, что некоторые болезни протекают бессимптомно, поэтому биохимию крови нужно проводить как минимум каждые 6 месяцев.
анализы для печени диагностика печени какой анализ сдать для печени
Алт в анализе крови: что это? почему повышена аланинаминотрансфераза?
Что такое аланинаминотрансфераза, АЛТ (АLT), зачем она нужна в тканях, каковы нормы АЛТ в анализе крови, и при каких обстоятельствах возникает увеличение АЛТ в крови?
В организме человека каждую секунду происходят различные взаимопревращения миллионов молекул, и эта совокупность образования новых биохимических веществ, и распада ненужных соединений называется метаболизмом. Метаболизм является тем набором химических реакций, которые обуславливают состояние гомеостаза, или постоянство внутренней среды организма.
Вся биохимия крови, которая доступна современным методам клинического лабораторного исследования, позволяет оценить самые разные процессы метаболизма, важные для постановки диагноза, и определить концентрации веществ, которые в них участвуют. К одним из таких соединений и относится фермент ALT, или аланинаминотрансфераза, АЛТ.
Что такое АЛТ и похожие ферменты?

АЛТ — слово женского рода, поскольку оно расшифровывается как аланинаминотрансфераза, с характерным для этого рода окончанием. Трансферазы — это класс ферментов, или энзимов, которые существенно ускоряют процесс переноса одной химически активной группы внутри молекулы на другой субстрат (отщепляют ее от одной молекуля и присоединяют к другой).
В данном случае фермент АЛТ, аланинаминотрансфераза, или, по-другому обозначению, АлАт в крови, существенно ускоряет перенос группы NH2, или аминогруппы. Этот фермент расщепляет ее от аминокислоты аланина, и присоединяет его на другую молекулу, которой является кетоглутаровая кислота. В результате образуются из исходных соединений глутаминовая и пировиноградная кислоты. Это реакция называется переаминированием, и для ее полноценного проведения необходим витамин B6.
Примером другого фермента, который близок по своей функции к АЛТ, является аспартатаминотрансфераза, или АСТ. Задачей этого энзима является трансформация оксалоацетат в аспартат. AСТ также относится к трансаминазам, и выполняет реакции переаминирования, но встречается в несколько иной концентрации в органах и тканях, и выполняет несколько другие задачи.
Если АЛТ играет ключевую роль в обеспечении организма энергией, участвуя в цикле Кребса, тo АСТ, в основном, занимается высвобождением аммиака и занята в производстве мочевины, который является конечным продуктом распада белковых соединений. Этот цикл называется орнитиновым, и протекает в печени.
Когда специалист назначает биохимический анализ крови при поражениях печени, то определяется концентрация АлАт в крови. Обычно сразу же берется анализ крови на АЛТ и АСТ, и сравниваются значения этих энзимов.
Главным образом, этот фермент существует внутри клеток специализированных паренхиматозных органов. Активнее всего функционирует АЛТ в печененочной ткани, в почечной.
Несколько в меньшей концентрации он находится в миокарде, скелетной поперечнополосатой мускулатуре, в панкреатической ткани, селезенке, в лёгких и в клетках красной крови — эритроцитах.
За счёт того, что у мужчин мышечная ткань развита лучше, у них также АЛТ в норме находится несколько более высокой концентрации, чем у представительниц женского пола.
Важное клиническое значение имеет факт, что оба этих энзима при нормальных условиях находятся внутри клеток, и в кровоток они попадают только при разрушении соответствующих клеточных структур.
Если бы в лаборатории была возможность брать анализы АЛТ и АСТ непосредственно внутри клеток, то их концентрация была бы намного выше. Но, это делать физически невозможно, да и не требуется, поскольку врачам гораздо важнее оценить косвенно степень повреждения паренхиматозного органа по анализу АлАт в крови.
Почти вся АЛТ у человека содержится в гепатоцитах – печеночных клетках, а в остальных органах ее находится гораздо меньше.
Поэтому увеличение числа молекул фермента в анализе на АЛТ, прежде всего, говорит о том, что ты энзимы печени вышли из разрушенных клеток и устремились в периферический кровоток. Но нужно помнить, что всё-таки органной специфичностью эти ферменты не обладают, и судить о поражении каких-либо органов только по результатам повышения АЛТ и АСТ можно косвенно.
Показания к анализу

Врач назначает исследование АЛТ в крови, и его «близнеца» — АСT, при обследовании на патологию печени. Как известно, большая часть печеночных нарушений — это вирусные гепатиты. Его значения нужны для контроля проведенного лечения у пациентов с поражениями печени, для скринингового обследования донорской крови.
Исследование ферментов — это недорогой способом диагностики, и эта «сеть», широко наброшенная на значительный контингент лиц, позволяет потом прицельно исследовать тех вероятных кандидатов из них, у которых могут быть вирусные гепатиты.
Подробнее об это в статье «АЛТ и АСТ при гепатите С: поведение ферментов при инфицировании гепатитом».
Также этот анализ назначается при различных заболеваниях скелетной мускулатуры, в том числе наследственных, и для контроля оценки состояния печени при назначении разных лекарств.
Известно, что многие препараты для лечения сердечной недостаточности, для снижения уровня холестерина, для лечения эпилепсии и многих других заболеваний могут ухудшать функцию печени, особенно у пожилых пациентов.
И для контроля ежемесячно необходимо проводить исследования трансаминаз. И часто, для того, чтобы понизить АЛТ и АСТ, нужна или отмена препарата, или коррекция дозы.
Подготовка и нормы АЛТ в анализе крови
Проводится забор материала по общепринятым правилам. Забор крови проводится утром, при этом период ночного голодания должен составлять от 8 до 14 часов.
Можно употреблять воду без ограничений, а в случае невозможности сдать кровь утром, допускается дневная сдача крови на трансаминазы, которой предшествует 4- часовой период голодания. Перед исследованием необходимо накануне днем вести обычный образ жизни.
Обязательно следует исключить алкоголь, физическую нагрузку с выраженной мышечной усталостью, спортивные тренировки.
У здорового взрослого человека старше 17 лет количество АЛТ в плазме крови не должно превышать 41 единица на литр (Ед/л) у мужчин, и 31 Ед/л у женщин. В детском возрасте, и у подростков, юношей и девушек от 12 до 17 лет эти показатели соответствуют 27 и 24 Ед/л.
Что касается детского возраста, то там наблюдается обратная пропорциональность между возрастом и концентрацией ферментов в плазме крови. Так, у малыша в 2-3 месяца концентрация фермента должна быть меньше 56 единиц, в 3 года — 29, в 10 лет — 39 единиц. Это связано с оптимизацией биохимических процессов в печени, для которых требуется меньше количества фермента с ростом организма, и совершенствованием механизмов метаболизма.
Почему повышается АЛТ и АСТ?

Одним из самых частых примеров появления избытка энзимов — различные инфекционные и токсические поражения ткани печени – токсические и вирусные гепатиты. Именно при этой патологии чем выше уровень ферментов, тем тяжелее протекает гепатит, и тем серьезнее прогноз.
Часто повышаются оба фермента вместе, и пациенты, увидев результаты, спрашивают: если АЛТ и АСТ повышен, что это значит? Это значит, что АСТ тоже присутствует в печени, но его там меньше, соответственно, ниже и его диагностическое значение. Поэтому ориентироваться нужно на результаты данных аланинаминотрансферазы. Ведь ещё до возникновения иктеричности, или характерной желтушности, когда при гепатите нет никаких жалоб, у 50% пациентов уже обнаруживается повышенный АЛТ в крови.
Этот маркер повышения печени является более специфичным, чем аспартатаминотрансфераза.
При очень остром процессе, при вирусном гепатите с высокой степенью иммунного ответа и повреждением печеночных клеток, когда развивается их выраженный цитолиз, то результаты анализов превышают норму Алат в 50, в 100 раз, и даже ещё выше.
Также велика диагностическая ценность гиперферментемии и у пациентов с вирусными гепатитами без наличия желтухи. Это наиболее часто происходит при низком иммунитете, например, у лиц с наркоманией, и со смешанной инфекцией — ВИЧ плюс гепатит B и C.
При токсических гепатитах также возникает существенно повышение трансаминаз. В случае адекватного лечения, и при наличии клинической ремиссии или выздоровления, повышение трансаминаз прекращается, и начинается постепенное снижение концентрации этих ферментов. Через несколько недель концентрация АЛТ и АСТ постепенно приходит в норму. При хроническом алкоголизме этот процесс не так сильно выражен.
Вам будет также полезна статья по этой теме «Норма АЛТ и АСТ в крови».
Ели подавляющая часть печеночной ткани уже уничтожена, и вместо гепатоцитов осталась только соединительная ткань, или фиброзное вещество, то речь идёт о циррозе печени.
Когда цирроз только начинается, и гепатоциты еще существуют, есть чему погибать, то у пациентов повышенный АЛТ сохраняется в течение длительного времени, например, от года до трех, но выраженный не в такой сильной степени, как при острой вирусной патологии (уровень, в среднем, повышен в 5 раз).
Но затем, когда количество клеток уменьшится настолько, что даже при их гибели энзимов в крови будет мало, повышение печёночных ферментов прекращается. Это является плохим симптомом, сообщающим о близкой прогрессирующей печеночной недостаточности, накоплении аммиака в средах организма, и близких симптомах печеночной энцефалопатии.
Иногда возникает более чем пятикратное повышение активности трансаминаз без всяких намеков на гепатит и цирроз. Это – частый симптом гепатоцеллюлярной карциномы – печеночной злокачественной опухоли, либо метастатического поражения — этого органа, которое тоже является причиной повышения АЛТ.
Вспомним, что АЛТ находится еще в мышечной ткани, то при ее гибели, или некрозе, фракция этого фермента также увеличивается. Но в мышцах существенно больше АСТ чем АЛТ, поэтому анализ АЛТ повышен вместе с АСТ, и ориентироваться надо на аспартатаминотрансферазу, например, при остром коронарном синдроме.
О повышении АСТ читайте в статье «Аспартатаминотрансфераза (АсТ) повышена, что это значит?».
Также достаточную известность приобрёл коэффициент де Ритиса, или частное от деления показателя аспартата на аланин. Среди полного здоровья этот показатель близок к единице. Если АлАт повышен за счёт повреждения печени, то этот коэффициент снижается менее 0,5. При внепеченочной причине, например, при инфаркте, он превышает единицу (за счет преобладания АСТ).
Кроме самых главных поводов для повышения АЛТ в крови, существуют заболевания, когда АЛТ повышен в 2 раза, или примерно так, то есть, не так значительно:
- тупая травма живота с повреждением паренхиматозных органов;
- иктеричность, либо желтушность при заболеваниях желчевыводящих путей;
- оспаление в мышцах — миозиты, и миокардиты;
- Миокардиодистрофия;
- различные ожоги, степенью больше, чем II на достаточной площади (резорбтивное действие);
- жировой гепатоз, чаще всего, алкогольной этиологии;
- преэклампсия и гестозы у беременных;
- правожелудочковая сердечная недостаточность и легочное сердце также повышает АЛТ в крови;
- тяжелая бронхиальная астма с проявлениями дыхательной недостаточности;
- обострение хронического панкреатита;
- состояние выраженного гемолиза при заболеваниях крови, ведь АЛТ находится также и в эритроцитах. Его количество там невелико, но самих эритроцитов в организме очень и очень много.
Также концентрация АЛТ в крови увеличивается при назначении различных препаратов с гепатотоксической активностью — химиотерапия злокачественных новообразований, также анализ АЛТ выходит за референсные значения при постановке некоторых внутримышечных инъекций, например, ортофена, диклофенака.
В этой небольшой обзорной статье показано, что это — анализ крови на АЛТ. Непосредственных рекомендаций, как снизить АЛТ, АСТ в крови, не было дано. Состояний, приводящие к росту значений, энзимов, слишком много, чтобы дать универсальные рекомендации. Чтобы понизить АЛТ и АСТ, вначале необходимо достоверно знать причину гиперферментемии, и целенаправленно добиваться нормализации значений.
В гепатологии необходимо ликвидировать причину: злоупотребление алкоголем, или наличие активных вирусов, вызывающих гепатиты, разрастание фиброзной ткани. При мышечной форме гиперферментемии требуется необходимо полноценное изучение крови, при необходимости – даже медико-генетическое, на возможную наследственную форму заболевания, и принимать соответствующие лекарства по назначению специалистов из центра нейромышечных болезней.
- Наконец, при приёме средств, оказывающих гепатотоксический эффект, необходимо ежемесячно проводить мониторинг активности трансаминаз, и особенно у пациентов в пожилом возрасте с наличием сопутствующей патологии.
- Случаи, когда значения АЛТ ниже нормы описаны в статье «АлТ в крови понижена: причины отклонений и нормальные значения».
Что такое АЛТ и что означает, если он повышен
Главная → Домашнее лечение → Организм → Кровь
Алт в анализе крови
Показатель АЛТ, или аланинаминотрансфераза, представляет собой внутриклеточный фермент. Он играет важную роль в метаболизме аминокислот и белков. Его синтез осуществляется в клетках различных органов:
- печени;
- почек;
- селезенки;
- легких;
- мышечных волокон сердца.

При нормальном функции органов аланинаминотрансфераза поступает в кровь в небольших количествах. Ее концентрация и определяется при лабораторных исследованиях.
Внимание! Тест на уровень содержания АЛТ в крови является достоверным и информативным при определении причин жалоб пациента и постановке диагноза.
Диагностика на основании анализа
На первичной консультации доктор собирает анамнез пациента. Сюда относятся жалобы больного, история развития болезни. Также оцениваются симптомы при осмотре специалистом. На биохимический анализ для определения уровня АЛТ доктор направляет человека при наличии следующих проявлений :
- быстрая утомляемость и постоянная слабость;
- отсутствие аппетита;
- тошнота, неприятные ощущения во рту;
- болезненность в правом боку, отдающая в грудную клетку;
- изменение цвета мочи, обесцвечивание стула;
- желтый оттенок кожных покровов пациента;
- избыточная масса тела.
Если у пациента ранее был диагностирован сахарный диабет или патология печени, он направляется на сдачу анализа даже при одном симптоме из вышеперечисленных.
Подготовка к сдаче анализа
Анализ сдается с утра. Перед посещением процедурного кабинета необходимо подготовиться:
- Накануне запрещен прием алкоголя.
- За 12 часов до планируемого времени сдачи анализа нельзя употреблять жирную пищу.
- Необходимо заранее уточнить у врача, какие препараты могут повлиять на результат. По возможности стоит отказаться на время от этих лекарств.
- Не следует нервничать. Эмоциональные потрясения способны исказить показатели. То же самое относится к тренировкам и перенапряжениям – за сутки до сдачи крови физическая нагрузка должна быть исключена.
- Утром не нужно есть – анализ берут натощак, можно выпить воду.

Знайте! Повышенный либо пониженный АЛТ в сочетании с яркими симптомами – признак заболевания печени, сердца, скелетной мускулатуры.
Причины повышенных показателей у мужчин и женщин
Если АЛТ повышен, а симптомы указывают на локализацию патологии, можно судить о пораженном органе и специфике болезни:
- Поджелудочная железа. Показатель АЛТ может свидетельствовать о панкреатите, сужении протоков, опухоли железы.
- Печень. Повышение уровня АЛТ в несколько раз – признак гепатита.
- Сердце. Инфаркт миокарда диагностируют при изменении концентрации аланинаминотрансферазы в разы.
- Желудочно-кишечного тракт. Повышенный результат может свидетельствовать о патологии желчевыводящих путей или мезентериальном инфаркте кишечника.
- Дыхательные пути. Изменение количества фермента в большую сторону обозначает туберкулез или онкологическое заболевание легкого.
- Половые органы. Увеличение концентрации АЛТ встречается при раке яичника у женщин или простаты у мужчин.
- Другие системы организма. Повышенный уровень аланинаминотрансферазы выявляется при декомпенсированной форме сахарного диабета, ожогах, обморожениях, шоковых либо послеоперационных состояниях организма.
При беременности у женщин чаще прослеживается естественное снижение уровня АЛТ. Если содержание фермента повышено и у будущей мамы присутствуют дополнительные симптомы, которые нельзя отнести к особенностям протекания беременности, назначают детальное исследование органов и внутренних систем пациентки:
- Периодические боли в правом подреберье, тошнота, субфебрильная температура тела, окраска кожи и слизистых оболочек в желтый цвет указывают на патологию печени.
- Вздутие живота и болезненные ощущения в области пупка, левом подреберье указывают на развитие панкреатита. Состояние женщины характеризуется частыми рвотными позывами, диареей.
Важно! Резкое увеличение АД, сильная боль в области левой лопатки, отдающая в руку и шею, одышка и боли в животе указывают на инфаркт миокарда. Симптоматика может дополняться беспричинным страхом, ознобом тела и потерей сил.
Особенно должно насторожить повышение уровня АЛТ у женщин после 50 лет. Этот фактор может являться сигналом сердечных заболеваний. Следует поинтересоваться у медицинского специалиста – чем это может закончиться? Как правило, отсутствие лечения приводит к прогрессированию заболевания.
Важно! У мужчин и женщин референсные значения (нормы) различаются. Особенно ценны показатели АЛТ в сочетании с АСТ (аспартатаминотрансферазой).
Норма показаний
При диагностике важен верхний уровень нормы. Относительно нижней границы единого мнения не существует. Но выраженное снижение АЛТ характерно для некроза или цирроза печени.

Таблица допустимого диапазона значений АЛТ представлена ниже:
| Категория пациента/Показатель | АЛТ (ед./л) | АСТ (ед./л) |
| Новорожденный |
Как проводится анализ на уровень АлАт и что означают его результаты?
Анализы на уровень ферментов – аминотрасфераз АлАт и АсАт – считаются двумя наиболее важными показателями для выявления повреждений печени и чаще всего назначаются вместе, так как их соотношение помогает дифференцировать различные заболевания этой железы и болезни других внутренних органов. В данной статье мы разберем, в каких случаях необходимо сдавать анализ на уровень фермента АлАт (аланинаминотрансферазы), узнаем о нормальных показателях АлАт и причинах отклонения от нормы.
«АлАт» в результатах анализа крови: что это?
Аланинаминотрансфераза, или АлАт, – специфический фермент, который содержится во всех клетках организма, в большем количестве присутствует в печени, сердце и почках, в меньшем – в поджелудочной железе, селезенке, легких. Фермент вырабатывается внутри клеток и участвует в синтезе многих аминокислот.
В норме он присутствует в крови в очень малом количестве, а его обнаружение сверх положенного может говорить о серьезных патологиях вышеуказанных органов. Дело в том, что при разрушении клеток последних фермент высвобождается и поступает в кровь.
В анализе крови уровень содержания АлАт измеряется в единицах на литр.
АлАт – внутриклеточный фермент из группы аминотрансфераз, катализирующих взаимопревращения аминокислот (белков) и кетокислот (оксокарбоновых кислот) путем обратимого переноса аминогруппы. Этот процесс называется трансаминированием.
АлАт играет незаменимую роль как в азотистом (белково-углеводном), так и в энергетическом обмене, когда под ее воздействием происходит распад органических веществ (синтезированных или попавших с пищей) до конечных продуктов с выделением энергии, необходимой для жизнедеятельности клеток.
В диагностических целях анализ АлАт наиболее показателен в части выявления повреждений печени, чем его «собрат» АсАт (аспартатаминотрансфераза).
Сам по себе уровень АлАт в анализе крови не является специфичным показателем и может свидетельствовать о некротических процессах (гибели клеток) многих органов. Однако чаще всего подобный анализ назначается при подозрениях на патологию печени при появлении следующих симптомов:
- тошнота или горечь во рту;
- пожелтевшие кожные покровы;
- дискомфорт и боли в правом подреберье;
- увеличение размеров печени.
Данные признаки могут свидетельствовать о нарушениях функций печени и о гибели гепатоцитов – печеночных клеток.
Для того чтобы оценить масштабность патологических процессов, назначается биохимический анализ крови для определения содержания в ней веществ, которые синтезируются при участии печени.
К данным веществам относят специфические печеночные ферменты и билирубин (желчный пигмент). Таким образом, уровень АлАт не может сам по себе говорить о нарушениях в печени, он анализируется в совокупности со следующими индикаторными ферментами:
- аспартатаминотрансферазой (АсАт);
- альдолазой;
- лактатдегидрогеназой (ЛДГ);
- у-глутамилтранспептидазой (ГГТ).
При этом значение имеет не только количественное содержание данных ферментов в крови, но и их соотношение. Например, если показатель АлАт повышен больше, чем АсАт, это является верным признаком разрушения клеток печени. Если же уровень АсАт выше уровня АлАт, то такая «картина» свидетельствует о проблемах с сердцем. При мышечных травмах (некрозе клеток мышц) и АлАт, и АсАт повышены в равной степени.
Подготовка и проведение исследования
Для определения уровня АлАт в крови используется венозная или капиллярная кровь, которая сдается с 8 до 11 утра, натощак. АлАт относится к категории биохимического анализа крови. За 30 минут до анализа рекомендуется отказаться от курения и избегать физического и эмоционального перенапряжения. Накануне желательно не подвергать организм пищевым перегрузкам, пить только воду (в обычном режиме).
Срок исполнения исследования, как правило, составляет 1 рабочий день, не считая дня взятия биоматериала. Следует помнить, что уровень АлАт может быть повышен из-за принятия некоторых лекарств, потому перед сдачей анализа необходимо проконсультироваться с врачом о возможности приостановки их применения. Если прием нельзя отменить, врач сможет учесть влияние данного фактора на результаты анализа.
Список основных лекарственных препаратов, способствующих повышению АлАт, приведен ниже:
Расшифровка результатов анализа на АлАт
Как уже говорилось, аланиновая аминотрансфераза – это внутриклеточный фермент, а значит, при гибели клеток он высвобождается и попадает в кровоток, в котором затем и обнаруживается.
Расшифровка результатов анализа АлАт не особенно сложна, однако следует помнить о том, что уровень фермента желательно анализировать в совокупности с другими показателями – АсАт, ЛДГ и т.д.
Однако если у вас на руках только результаты анализа АлАт и есть подозрения на серьезное заболевание печени, то можно учесть несколько основных закономерносттей:
- при вирусных гепатитах уровень АлАт пропорционален степени цитолиза (разрушения клеток печени);
- при острых вирусных гепатитах уровень АлАт может превышать нормальное значение в 50–100 раз;
- при алкогольных гепатитах повышение уровня АлАт умеренное, не более чем в 6 раз;
- токсические заболевания печени дают картину, сходную с вирусными гепатитами;
- при циррозе уровень АлАт может достигать 4–5-кратного увеличения от нормы;
- при карциноме печени АлАт и АсАт повышаются в 5–10 раз;
- жировая дистрофия печени приводит к повышению АлАт в 2 или 3 раза.
Особенно информативно определение активности АлАт для ранней диагностики гепатита, так как активность АлАт в сыворотке крови начинает увеличиваться уже в первой (продромальной, преджелтушной) стадии, которая длится от 10 до 350 дней, в зависимости от формы гепатита (A, B, C, D, E и др.), когда иные признаки заболевания еще не проявились.
Норма содержания АлАт
У новорожденных уровень АлАт не превышает 17 единиц на литр, затем с каждым днем содержание фермента повышается, что объясняется запуском всех защитных механизмов в организме. Кроме того, количество фермента в сыворотке крови у женщин несколько ниже, чем у мужчин. У беременных женщин данный показатель, как правило, повышен, однако чрезмерное увеличение уровня АлАт может говорить о патологии печени. Приведем таблицу норм для анализа АлАт:
Исследование могут назначить следующие врачи: терапевт, гастроэнтеролог, инфекционист, гематолог, эндокринолог, хирург. Также для получения консультации по поводу результатов анализа АлАт целесообразно обратиться к гепатологу, урологу и онкологу, особенно если имеются какие-то жалобы на самочувствие по профилю этих врачей.
Патологии, связанные с повышением уровня фермента в крови
О каких заболеваниях может говорить повышенный уровень фермента? Прежде всего, это заболевания печени различной этиологии: вирусные гепатиты, цирроз, токсическое и алкогольное поражение, рак печени, желтуха, жировой гепатоз. Токсическое поражение печени может быть вызвано приемом гепатотоксических препаратов – психотропных средств, анаболических стероидов, контрацептивов, антибиотиков, иммунодепрессантов и прочих.
Повышение АлАт, как уже упоминалось, может быть связано и с патологиями других органов: сердечная недостаточность, некроз скелетных мышц, обширный инфаркт миокарда, миокардит, миозит, миодистрофия, выраженный панкреатит.
Также повышенный уровень АлАт возникает при получении обширных ожогов, гемолитических и генетических заболеваниях, при первичном недостатке альфа1-антитрипсина и карнитина, болезни Вестфаля–Вильсона–Коновалова.
На заметку Карнитин – природное вещество, родственное витаминам группы В. Синтезируется в организме человека, присутствует в тканях поперечнополосатых мышц и печени.
У некоторых пациентов повышенный АлАт может быть следствием внутримышечных инъекций и интенсивных физических нагрузок, а также приемом лекарств и БАДов (биологически активных добавок).
Неправильное питание – употребление продуктов с вредными пищевыми добавками – также может незначительно влиять на результаты анализа АлАт.
Двух- и трехкратное превышение нормы у врачей трактуется как «легкое повышение», вплоть до 20 раз – «умеренное», и только более чем двадцатикратные значения относительно нормальных показателей «разрешают» бить тревогу – это выраженное повышение.
О чем говорит низкий уровень аланинаминотрансферазы?
Пониженное содержание фермента свидетельствует о тяжелых поражениях печени, когда возникает обширный некроз клеток. В этом случае уменьшение уровня фермента объясняется критическим сокращением количества самих клеток, синтезирующих его. Кроме того, понижение может свидетельствовать о дефиците витамина В6.
Так как анализ АлАт не является специфическим для определения многих заболеваний, стоит помнить, что показатель в пределах нормы не является доказательством отсутствия печеночных патологий. Для точной постановки диагноза анализ АлАт следует сдавать одновременно с другими сопутствующими анализами, которые упоминались выше. Данное исследование необходимо проводить при наличии некоторых факторов риска – например, при контакте с больными вирусным гепатитом, при наследственной предрасположенности к болезням печени, при диабете и лишнем весе, при приеме токсических лекарственных средств. 
Анализ крови АЛТ: что это за показатель, почему повышается

Аланинаминотрансфераза является ферментом, принимающим активное участие в обмене веществ и входящим в трансферазную группу. Синтезируется он из собственных клеток организма и содержится в тканях почек, сердца, печени, частично в мышцах. Почему назначают анализ крови АЛТ, что это покажет и каковы нормальные показатели, рассмотрим далее.
Фермент АЛТ образуется из клеток поврежденных тканей и поступает в кровь в очень ограниченном объеме. Когда аланинаминотрансфераза повышена, то это означает наличие сбоя в функционировании какого-либо органа и нарушение целостности его клеток. АлАТ является катализатором биохимической реакции, в результате которой образуются органические соединения – глутаминовая и пировиноградная кетокислота.
Присутствие аланина в органах и тканях необходимо для образования глюкозы в печени, что обеспечивает полноценную работу мозга и ЦНС. Аланин, или 2-аминопропановая кислота способствует поддержанию иммунитета, продуцированию лимфоцитов, стабильному обмену веществ.
Для чего назначается
Высокий процент трансаминазы находится в печени, в связи с этим с помощью проведения тестов можно обнаружить заболевание данного органа. Печень не имеет нервных окончаний и не болит, что затрудняет диагностику по внешним симптомам. Биохимический анализ крови АЛТ делают с целью выявления различных патологий на ранних стадиях. Особенно информативным является сочетание нескольких показателей крови, позволяющее установить наиболее точный диагноз.
В большинстве случаев анализ АЛТ делают в комплексе с определением уровня других важных показателей, например, аспартатаминотрансферазы (анализ АСТ). Это еще один фермент, объем содержания в крови которого свидетельствует о повреждении сердца, почек и печени. Так же как и АЛТ, анализ крови АСТ помогает диагностировать аномалии в органах, поскольку превышение или понижение относительно нормальных значений сигнализирует о патологическом процессе.
Если аспартатаминотрансфераза повышена, что это значит:
- Высокий уровень АСТ при пониженном АЛТ наблюдается при заболеваниях сердечной мышцы. Благодаря грамотной трактовке АСТ и АЛТ можно не только определить наличие заболевания, но и в ряде случаев установить степень его развития, а также спрогнозировать дальнейшее течение.
- Когда повышен АЛТ, а показатель аспартатаминотрансферазы снижен, следует обратить особое внимание на состояние печени. При тяжелых патологиях, например, циррозе, АЛТ может резко снижаться, а содержание АСТ в крови – существенно увеличиваться.
Следует отметить, что наиболее активен фермент аланинаминотрансфераза у лиц мужского пола, временные отклонения от нормы АЛТ в крови у женщин встречаются в период беременности и после родов.
Когда нужен анализ АЛТ
Как правило, тест на аланинаминотрансферазу проводится в рамках общего биохимического анализа, но в определенных ситуациях необходимо знать именно значение АЛТ. Такая избирательность продиктована тканевой спецификой фермента и используется для раннего выявления печеночных патологий. Анализ крови АлАТ нужен для оценки состояния печени при приеме некоторых лекарств или воздействии на организм токсинов.
Не менее важен результат исследования на АСТ и АЛТ при подозрениях на гепатит, панкреатит, онкологические заболевания печени и скрытый инфаркт. Пациенты, которые жалуются на слабость и непривычно сильную утомляемость, в обязательном порядке сдают анализ на АсАТ и АлАТ. Показанием к проведению служит также наличие следующих симптомов:
- потеря аппетита;
- боль и дискомфорт в абдоминальной области;
- желтый оттенок кожных покровов и белков глаз;
- тошнота с переходом в рвоту;
- светлый цвет кала, вплоть до белого;
- потемнение мочи.
Вышеперечисленные симптомы указывают на болезни печени, при появлении хотя бы одного из них требуется лабораторное исследование крови на АСТ и АЛТ. Сопоставление результатов позволит получить дополнительные сведения о причинах, приведших к патологии печени. Если показатели значительно превышают свои нормальные значения, используют так называемый коэффициент де Ритиса – соотношение активности эндогенных ферментов.
АЛТ преобладает в печени, а АСТ – в миокарде, поэтому при заболеваниях этих органов наблюдается повышенная активность соответствующего фермента. Для гепатита характерно увеличение активности АЛТ в 8-10 раз, АСТ повышается в 2-4 раза, коэффициент де Ритиса низкий и составляет всего 0,6.
Нормальное значение коэффициента де Ритиса – 1,33, допускаются отклонения в ту или иную сторону до 0,42.
При циррозе печени эта цифра увеличивается, что подтверждает развитие некротического процесса в клетках, провоцирующего выброс АЛТ и АСТ в кровь.
- Если в анализе крови АСТ повышен при одновременном подъеме индекса Ритиса, можно предположить разрушение кардиомиоцитов и, в частности, инфаркт миокарда.
- О печеночной патологии свидетельствует низкий коэффициент (до 1), причем прогноз напрямую зависит от величины отклонения – чем выше коэффициент, тем больше шансов на успешное излечение.
Соотношение величин двух ферментов информативно не только для диагностики, но и в ходе лечебных мероприятий. Анализ крови АСТ и АЛТ проводится при наличии факторов риска, таких как диабет или лишний вес. Контроль состояния пациента необходим также в случае наследственной предрасположенности к различным повреждениям печени, а также при длительном лечении гормональными препаратами.
Общие правила проведения исследования:
- В большинстве случаев забор крови осуществляется из вены.
- Анализ проводится строго натощак, последний прием пищи должен быть не позднее 12 часов до процедуры.
- Прием алкогольных напитков прекращается как минимум за 7 дней до сдачи крови.
- За 20-30 минут нельзя курить, нужно успокоиться и расслабиться.
Анализ крови, включающий АсАТ и АлАТ, готов через сутки.
Нормальные показатели АЛТ – какие они
- Норма АЛТ и АСТ в крови зависит от возраста и пола пациента:

- Норма АЛТ и АСТ у детей может меняться в связи с ростом ребенка, но со временем уровень ферментов стабилизируется.
- На результаты тестов способны повлиять не только патологические изменения, но и другие факторы:
- Нередко наблюдается, что АЛТ повышен из-за приема таких лекарственных средств, как аспирин, парацетамол, нурофен.
- Употребление оральных контрацептивов и заместительной гормональной терапии тоже нередко приводит к повышению аланинаминотрансферазы. Именно поэтому женщинам, регулярно принимающим препараты, содержащие эстрадиол и прогестерон, рекомендовано в обязательном порядке сдавать биохимический анализ крови.
Рекомендуем: Что такое ТТГ и о чем говорят отклонения от нормы
Чтобы получить достоверный результат, необходимо сообщить врачу, направляющему на обследование, обо всех лекарствах, которые принимает пациент. Иногда бывает, что анализ крови АЛТ повышен вследствие применения таблеток или микстур, содержащих эхинацею или валериановый корень. Недостаточно точными будут анализы, взятые после внутримышечных инъекций или тяжелых физических нагрузок.
Превышение уровня АЛТ
Когда результаты биохимического исследования получены и сразу видно, что аланинаминотрансфераза повышена – что это значит? Предположить наличие заболевания можно в случае превышения нормальных показателей в несколько раз.
- Если АЛТ повышен в 5 раз, причиной может быть сердечный приступ, инфаркт. Более резкое увеличение указывает на отрицательную динамику состояния пациента вследствие повреждения миокарда. Подтвердить предварительный диагноз может расчет коэффициента де Ритера – он тоже будет высоким.
- При гепатите АлАТ повышен не менее чем в 20 раз, а иногда и в 50.
- Различные формы мышечной дистрофии и некоторые системные болезни соединительной ткани диагностируются при превышении верхней границы нормы фермента АлАТ в 8 раз.
- Увеличивается данный показатель и при остром приступе поджелудочной железы и гангрене – как минимум, в 3 раза.
Иногда результат исследования показывает низкий уровень АЛТ, что может означать недостаток определенных элементов, входящих в состав фермента. Связано это, как правило, со сложными процессами воспалительного характера, протекающими в печени.
Если АЛТ повышен, что это значит и каким состояниям сопутствует:
- злокачественные новообразования печени;
- панкреатит;
- миокардит;
- гепатит любой этиологии;
- цирроз;
- инфаркт.
Зная, что такое АЛТ, и каково его содержание в крови, врач сможет предотвратить многие осложнения и вовремя принять меры даже при отсутствии другой симптоматики. Например, при гепатите типа А внешние признаки появляются не меньше чем через неделю после повышения уровня аланинаминотрансферазы. Это позволяет выявить инфекцию раньше, чем она распространится по всему организму, и начать лечение.
В случае проблем с поджелудочной железой систематическое наблюдение за динамикой показателя АЛТ помогает избежать тяжелых приступов и контролировать ход лечения.
Поскольку анализ крови АСТ и АЛТ проводится обычно в комплексе, его назначают при подозрении на миокардит. Повреждение сердечной мышцы выражается затрудненным дыханием, слабостью и высоким содержанием АЛТ в кровяном русле.
При инфаркте миокарда аланинаминотрансфераза повышается незначительно. Зато АсАТ повышен существенно, что говорит о некротическом поражении тканей сердечной мышцы.
Почему повышается уровень ферментов
Факторами, которые приводят к тому, что АЛТ и АСТ повышены, являются следующие:
- прием некоторых лекарств – антибиотиков, антихолестериновых и успокоительных средств;
- несоблюдение диеты перед сдачей анализа;
- прием спиртных напитков менее чем за неделю до проведения исследования;
- нарушение стерильности при заборе крови;
- высокие психические либо физические нагрузки;
- некроз злокачественного новообразования;
- мононуклеоз;
- травмы мягких тканей;
- хирургические манипуляции на сердце незадолго до сдачи анализа;
- стеатоз, накопление жира в печени – наблюдается преимущественно у тучных людей;
- химиотерапия;
- употребление наркотиков;
- интоксикация свинцом;
- гепатит, цирроз.
При вынашивании ребенка АЛТ и АСТ у женщин чаще всего не превышают нормальных значений, но в первые три месяца индикатор аланинаминотрансферазы бывает немного выше. Норма АСТ в крови не превышает 31 ед/л.
В третьем триместре ферменты группы трансфераз могут проявлять активность при гестозах, поскольку нагрузка на печень достигает своего пика именно в последние месяцы. Такое осложнение, как гестоз, может протекать достаточно тяжело, при этом анализ крови АСТ и АЛТ покажет значительное превышение границы нормы. Кроме этого, повышается давление, возникает слабость, головокружение и ухудшение общего состояния.
Рекомендуем: Основные причины появления густой крови и способы лечения
Что делать для снижения АЛТ
В первую очередь требуется установить первичное заболевание печени или сердца. Врач назначает терапевтический курс, в который входят такие лекарства, как Карсил, Гепатамин, Гептрал и др. По завершении лечения пациент направляется на повторную сдачу АЛТ и АСТ, анализ крови подтвердит эффективность проведенной терапии.
Весь период лечения больной должен находиться под наблюдением доктора и неукоснительно выполнять все предписания. Что такое АСТ и АЛТ, и как лечить болезни, для которых характерно превышение уровня этих ферментов, знают кардиологи и гепатологи.
Параллельно с медикаментозным лечением рекомендуется соблюдать некоторые правила для скорейшего достижения желаемого результата. В первую очередь, это коррекция рациона, в котором должны быть следующие продукты:
- морковь;
- капуста брокколи;
- кабачки;
- зелень;
- фрукты, желательно в свежем виде;
- мясо и рыба нежирных сортов;
- кисломолочные продукты;
- куриные яйца;
- цитрусовые.
Необходимо полностью убрать из меню продукты с высоким содержанием жира. К ним относятся все блюда, которые жарятся во фритюре, колбасные изделия и еда быстрого приготовления. Вредным для печени считается употребление соленых блюд – маринованных и квашеных овощей, соевого соуса, а также подсаливание готовой пищи.
Чтобы не нанести вреда печени, количество ежедневно потребляемой соли не должно быть больше чайной ложки.
Лечение, которое назначил врач, можно сочетаться с применением домашних средств. Перед использованием народных рецептов нужно обязательно получить одобрение доктора. Наиболее популярными среди пациентов являются настои из трав: расторопши, одуванчика, зверобоя, а также бессмертника и чистотела.
Приготовить настой из семян расторопши можно так: чайную ложку сырья залить стаканом кипятка, емкость плотно закрыть и настаивать 20-30 мин. Затем лекарство процедить и принимать 2 раза в сутки по 1 стакану перед едой. Полный курс – 21 день.
Почему АЛТ повышен, что это значит?
Аланинаминотрансфераза (АЛТ) и аспартатаминотрансфераза (АСТ) представляют собой ферменты, которые являются активными участниками обмена аминокислот. Они способны находиться в клетках почек, печени, сердечных мышц и иных органов.
Если они попадают в кровь, это говорит о наличии какого-либо нарушения работы органов по причине разрушения клеток.
Когда показатели АЛТ повышены, это чаще всего указывает на развитие определенного заболевания затрагивающего печень. Расшифровка анализа крови может более подробно показать, какой именно орган поврежден, в нем будет значительно увеличен уровень АЛТ или АСТ.
Что такое АЛТ в анализе крови?
Почему АЛТ в анализе крови повышен, и что это значит? Аланинаминотрансфераза (АЛТ) является эндогенным ферментом, принадлежащим к группе трансфераз, подгруппе трансаминаз, или аминотрансфераз. Определение его уровня в крови широко применяется в медицинской практике с целью выявления патологий печени и некоторых других органов. Исследование крови на АЛТ практически всегда проводят в комплексе с определением уровня АСТ.
Оценка этих двух лабораторных показателей позволяет врачу предположить локализацию патологического процесса и определить вероятную тяжесть заболевания. Для оценки применяется коэффициент Ритиса (соотношение АСТ/АЛТ), который в норме составляет 1,33. При остром вирусном гепатите данный коэффициент снижается, тогда как при инфаркте миокарда и алкогольном поражении печени – повышается.
Где содержится АЛТ:
- Печень (больше всего);
- Почки;
- Легкие;
- Поджелудочная железа;
- Мышцы;
- Сердце.
Главная функция аланинаминотрансферазы связана с обменом аминокислот. Это вещество выступает катализатором при переносе определенных молекул. При нарушении энергетического метаболизма происходит увеличению проницаемости клеточных мембран, что приводит к разрушению клеток и высвобождению фермента в сыворотку крови.
Норма
Нормы, в которые должна укладываться аланинаминотрансфераза в крови таковы:
- дети до 1 года: 13 – 45 Ед/л;
- мужчины до 1 – 60 лет: 10 – 40 Ед/л;
- женщины 1 – 60 лет: 7 – 35 Ед/л.
При аналитических исследованиях на этот фермент необходима высокая точность, а она напрямую связана с приемом некоторых препаратов, которые могут исказить аналитическую картину. Поэтому перед тем как проверять уровень АЛТ нужно проконсультироваться с врачом, который либо временно отменит прием лекарственных средств, либо будет учитывать отклонения в результатах анализа, связанные с медикаментозной терапией.
Повышенная АЛТ в крови: причины
Говоря простым языком, аланинаминотрансфераза — фермент, который, помимо печени, где его концентрация особенно велика, находится буквально во всех паренхиматозных органах, занимая преимущественно цитоплазму тканевых клеток.
АлАТ не зря считают своего рода маркером патологии печени и расценивают как достоверный признак поражения ее паренхимы, ведь активность фермента в плазме крови находится в прямой зависимости от степени вовлечения в патологический процесс ткани этого важного органа.
Учитывая такую высокую чувствительность АлТ, можно ожидать, что аланинаминотрансфераза будет повышена в случаях малейшего страдания печеночной паренхимы.
Итак, повышение показателей АЛТ происходит в следующих случаях:
- Гепатит. Это воспалительное заболевание печени может быть представлено в нескольких формах. Для хронического или вирусного гепатита превышение уровня аланинаминотрансферазы в крови незначительно.
- Изредка повышение АЛТ может наблюдаться в случаях механической желтухи, однако высокие значения данного показателя встречаются крайне редко.
- Цирроз. Это заболевание опасно тем, что долгое время может не иметь ярко выраженной симптоматики. Пациенты быстро утомляются, чувствуют усталость.
- Рак печени. Данная злокачественная опухоль часто образуется у больных гепатитом. Анализ на АЛТ в таком случае необходим как для диагностики заболевания, так и для принятия решения об операционном решении.
- Неалкогольная жировая болезнь печени (стеатоз): уровень АЛТ повышается незначительно – в 2-3 раза. При переходе заболевания в фазу стеатогепатита отмечается выраженное увеличение АЛТ, высокий уровень общего и прямого билирубина, а также показателей воспалительной активности крови.
- Панкреатит. О наличии данного заболевания также говорит уровень АЛТ. Его повышенное количество свидетельствует об обострении панкреатита.
- Миокардит. Он проявляется в поражениях сердечной мышцы. Основными его симптомами является одышка, быстрая утомляемость больного и повышенное содержание АЛТ в крови.
- Инфаркт Миокарда. Данное заболевание является следствием нарушения кровотока, в результате чего происходит некроз тканей сердечной мышцы.
- Анализы могут показать повышение уровня АЛТ при алкоголизме и сразу после приема алкогольных напитков.
При увеличении уровня АЛТ в 5 раз можно предположить инфаркт миокарда, если оно достигает 10-15 раз можно говорить об ухудшении состояния больного после приступа. Значение коэффициента де Ритиса при этом также изменяется в большую сторону.
Острый гепатит провоцирует увеличение содержания фермента в крови в 20-50 раз, мышечная дистрофия и дерматомиазиты – в 8. О гангрене, остром панкреатите говорит превышение верхней границы показателя в 3-5 раз.
Причины повышения АЛТ не связанные с заболеваниями
Повышать уровень АЛТ в крови могут и дргуие причины, например, некоторые лекарственные средства, такие как эстрогены, пероральные контрацептивы, холестатики, стероиды, соли железа, никотиновая кислота, сульфаниламиды, метилдопа, азитромицин, аминогликозиды, цефалоспорины, фторхинолоны, клофибрат, клиндамицин.
В отдельных случаях причиной повышения уровня аланинаминотрансферазы становятся физиологические причины:
- Повышенная физическая нагрузка;
- Прием БАДов, содержащих компоненты, отрицательно влияющие на клетки печени;
- Употребление алкогольных напитков за неделю до срока сдачи анализа крови на АЛТ;
- Эмоциональные нагрузки, которые могу привести к сбоям в работе нервной системы, и как следствие, реакции организма на это;
- Неправильное питание – в частности, употребление продуктов с вредными пищевыми добавками: полуфабрикатов, «быстрой еды», сладких газированных напитков и т.д. – в этом случае при корректировке рациона показатель АЛТ возвращается к норме.
Конечно, в основном уровень фермента увеличивается из-за других проблем со здоровьем, но именно по вышеперечисленным причинам показатель может быть увеличен, но незначительно.
Что делать, когда АЛТ в крови повышен?
Если анализ крови АЛТ повышен, то необходимо провести более полное обследование с целью выявления причины данного изменения. И чем раньше это будет сделано, тем намного благополучнее будет исход.
Чаще всего для снижения показателей АЛТ назначают гепатопротекторы:
- Гептрал;
- Эссенциале Н;
- Карсил;
- Тыквеол.
Эти препараты обладают многочисленными эффектами. Прежде всего, они защищают клетки печени от дальнейших повреждений, а также восстанавливают уже поврежденные, но еще не погибшие клетки.
(Visited 53 131 times, 40 visits today)
Алт (алат)
Научный редактор: М. Меркушева, ПСПбГМУ им. акад. Павлова, лечебное дело.
Июль, 2019.
Синонимы: АЛТ (АлАТ, Аланинаминотрансфераза, аланинтрансаминаза, SGPT, Alanine aminotransferase)
Лабораторное исследование на АлАТ проводится в рамках стандартного биохимического анализа крови и считается достоверным признаком поражения паренхимы печени и нарушения ее работоспособности.
Аланинаминотрансфераза (АЛТ, АлАТ) – основной диагностический маркер функциональной способности печени, поскольку большая часть фермента находится именно в этом органе. В меньшей степени АЛТ содержится в цитоплазме клеток других паренхиматозных органов (почек).
В норме в кровяное русло поступает очень малое количество АЛТ, что и обуславливает достаточно низкую ее активность. Повышение значений АЛТ в крови наблюдается только при каких-либо заболеваниях печени еще до проявления явных клинических симптомов (желтухи).
У здоровых людей АЛТ в крови определяется в ничтожно малых количествах.
Некоторые патологические состояния сопровождаются разрушением значительного числа богатых на АЛТ клеток печени и почек, что приводит к высвобождению фермента в кровяное русло. Происходит это обычно еще до появления характерных клинических признаков (при вирусных гепатитах и циррозе печени, например, до начала желтушного синдрома). Поэтому анализ на АЛТ всегда входит в комплекс функциональных («печеночных») проб, а также в программу обследования сердца, почек.
Показания
Наличие клинических проявлений заболеваний печени:
- повышенная слабость, быстрая утомляемость;
- снижение аппетита (вплоть до полной потери);
- диспептические явления (тошнота, рвота);
- болезненность и чувство тяжести в правом подреберье (область печени);
- повышенное газообразование в кишечнике (вздутие живота);
- изменение цвета кожи и слизистых (пожелтение);
- потемнение мочи, обесцвечивание кала;
- зуд и сухость кожных покровов.
Наблюдение за пациентами из группы риска:
- имеющими неблагоприятную наследственность;
- злоупотребляющими алкоголем;
- переболевшими или контактировавшими с больным гепатитом;
- страдающими сахарным диабетом и/или ожирением;
- получающими длительное или интенсивное лечение медикаментами с гепатотоксическим действием.
Дополнительно:
- обязательное обследование доноров;
- патологии миокарда;
- заболевания скелетной мускулатуры.
Зачем назначают анализ
- Диагностика вирусных, токсических и других поражений печени;
- Контроль эффективности лечения и прогнозирование исхода заболевания;
- Оценка повреждения ткани печени при вирусных и токсических гепатитах (вместе с анализом на АСТ);
- Оценка функции печени при приеме лекарственных препаратов.
Назначают и интерпретируют результаты биохимического анализа крови специалисты: врач общей практики, эндокринолог, гастроэнтеролог, гепатолог, инфекционист, гематолог, хирург.
Подготовка к анализу
Забор крови для биохимического анализа, в рамках которого определяется уровень АЛТ, предполагает соблюдение некоторых требований к подготовке. Подробнее об этом можно узнать здесь.
Алт и аст
Биохимический анализ крови на АЛТ подразумевает изучение еще одной трансферазы АСТ. Соотношение обоих этих ферментов АСТ/АЛТ (коэффициент де Ритиса) является важным диагностическим показателем функционального состояния печени, сердца, скелетной мускулатуры.
Отношение АСТ/АЛТ, в норме равное 1,33, при заболеваниях печени ниже этой величины, а при заболеваниях сердца — выше.
Заболевания печени, при которых АСТ выше АЛТ, включают алкогольное повреждение печени, цирроз и опухоли печени.
Анализ на АСТ/АЛТ проводят и с целью прогнозирования исхода заболевания и дальнейшего состояния здоровья больного. Плохим знаком считается отсутствие положительной динамики в результатах обследования в течение первых 3-х суток.
Усугубление ситуации, когда наблюдается рост активности АСТ в сыворотке крови, связано с расширением очага поражения или вовлечением в патологический процесс других органов. Например, при инфаркте миокарда может страдать еще и печень.
В этом случае коэффициент АСТ/АЛТ резко возрастает.
Отношение АСТ к АЛТ можно использовать для определения алкогольной болезни печени, при этом соотношение АСТ к АЛТ увеличивается больше, чем в 2 раза1.
Нормы АЛТ в крови
Важно! Нормы могут различаться в зависимости от реактивов и оборудования, используемого в каждой конкретной лаборатории. Именно поэтому при интерпретации результатов необходимо пользоваться стандартами, принятыми в той лаборатории, где сдавался анализ. Также необходимо обращать внимание на единицы измерения.
Нормы АЛТ, принятые в лаборатории Инвитро2:
| Возраст пациента | Допустимые значения АлАТ, Ед/л |
| До 5 дней жизни | до 49 |
| 5 дней-6 месяцев | до 56 |
| Полгода-1 год | до 54 |
| 1-3 года | до 33 |
| 3-6 лет | до 29 |
| 6-12 лет | до 39 |
| 12-17 лет (женщины) | до 24 |
| 12-17 лет (мужчины) | до 27 |
| Старше 17 лет (женщины) | до 31 |
| Старше 17 лет (мужчины) | до 41 |
Данные лаборатории Хеликс3:
| Возраст, пол | Референсные значения, Ед/л |
| до 1 года | менее 56 |
| 1-7 лет | менее 29 |
| 7-18 лет | менее 37 |
| мужчины старше 18 лет | менее 41 |
| женщины старше 18 лет | менее 33 |
Факторы влияния:
- внутримышечные инъекции (из-за травмирования мышц);
- интенсивная физическая нагрузка (микроразрывы мышечной ткани).
На содержание АЛТ в плазме крови может влиять прием некоторых лекарственных средств и биологически активных добавок (повышают значения).
Важно! Интерпретация результатов всегда проводится комплексно. Поставить точный диагноз на основании только одного анализа невозможно.
Повышение значений
Достаточно высокие значения (в 5-10 раз выше нормы) АЛТ в крови свидетельствуют об остром течении заболевания или об обострении хронической патологии.
Увлечение «фаст-фудом» тоже приводит к некоторому увеличению АЛТ в крови. Однако своевременная коррекция питания возвращает показатели в норму.
Очень высокие значения (повышение более, чем в 10 раз от нормы)4:
- Разрушение (некроз) гепатоцитов на фоне вирусного, токсического поражения печени (при остром течении уровень АЛТ превышает норму в 10 и более раз, при хроническом – больше, чем в 4-5 раз);
- Передозировка парацетамолом;
- Острый фульминантный гепатит;
- Некроз опухоли.
Умеренно высокие значения (повышение концентрации в 5-10 раз):
- Рак печени, в т.ч. метастатический;
- Холестаз (застой желчи в желчных протоках), желчнокаменная болезнь;
- Жировой гепатоз (замещение здоровых гепатоцитов клетками жировой ткани, ожирение печени);
- Шоковое состояние вследствие обширных ожогов, тяжелых травм;
- Тепловой удар, в т.ч. солнечный (уровень зависит от степени повреждения тканей);
- Хроническая или острая сердечная недостаточность, другие заболевания сердца (миокардит, инфаркт миокарда);
- Болезни, замедляющие приток крови к печени (окклюзия печеночных венул);
- Патологии мышечной системы: миодистрофия, миозит;
- Хронический алкоголизм;
- Острый, обострение хронического панкреатита (воспаление поджелудочной железы);
- Повреждение почек;
- Чрезмерное употребление витамина А;
- Дефицит левокарнитина (природное вещество, активный участник всех метаболических процессов в организме);
Небольшое повышение (1,5-5 раз):
- Прием гепатотоксических (агрессивное действие на печень) препаратов:
- психотропные средства;
- анаболики;
- контрацептивы;
- салицилаты;
- антибиотики;
- сульфаниламиды;
- иммунодепрессанты (средства для угнетения иммунитета);
- наркотики (средства для наркоза);
- цитостатики (противоопухолевые средства);
- статины.
- Инфекционный мононуклеоз;
- Цирроз печени;
- Жировой гепатоз
- Злоупотребление алкоголем
Понижение значений (в динамике)
Прогнозировать благоприятный исход болезни на фоне проводимого лечения можно при определении, хоть и медленного (в течение нескольких недель), но снижения уровня АлАТ до нормальных значений. Если же концентрация АЛТ уменьшается слишком быстро, и при этом еще наблюдается нарастание билирубина крови (гипербилирубинемия), то прогноз для пациента складывается неблагоприятный.
У женщин активность аланинаминотрансферазы несколько ниже, чем у мужчин. Во время беременности АЛТ снижается без повреждения паренхиматозных клеток – состояние обусловлено функциональной «перестройкой» организма будущей матери.
Источники:
- 1. Marc S Orlewicz, MD. Alanine Aminotransferase. — Англоязычная база актуальных медицинских данных Medscape.
- 2. Данные независимой лаборатории Инвитро.
- 3. Данные лаборатории Хеликс.
- 4. А.А.Кишкун, д.м.н., проф. Руководство по лабораторным методам диагностики, — ГЭОТАР-Медиа, 2007г.
Алт в крови – что показывает анализ аланинаминотрансфераза
Аланинаминотрансфераза (АЛТ) — фермент из подгруппы аминотрансфераз, которые вырабатываются внутриклеточно. Содержание его в норме в крови ограничено, поэтому если АЛТ повышен, то можно подозревать серьезные болезни. Обычно это патологии, при которых разрушаются органы и происходит выброс фермента в кровь.
Аланинаминотрансфераза есть в мышцах, печени, сердце, почках и других органах. Ее главная функция — аминокислотный обмен. Самую высокую активность АЛТ проявляет в крови у сильного пола. У женщин он проявляется не так активно.
Что показывает анализ на содержание АЛТ?
- Наибольший уровень содержания трансферазы наблюдается в клетках печени. Анализ применяют для выявления патологий этого органа, которые протекают бессимптомно. Количество АЛТ определяют путем биохимического анализа крови. Он диагностирует даже ранние стадии заболеваний. Иногда для этого требуется сравнение аланинаминотрансферазы с содержанием других компонентов крови, что дает возможность определить наличие болезней.
- Часто применяется еще один фермент – аспартатаминотрансфераза (АСТ). Он синтезируется также внутри клеток, его повышенное количество в крови также может выявить патологии.
- Чтобы получить точное представление о заболевании, необходимо узнать содержание АЛТ и АСТ.
- Если АЛТ превышает количество АСТ — это говорит о патологиях печени:
- Повышение показателей свидетельствует о запущенной стадии болезни, например, циррозе.
- Когда содержание аспартатаминотрансферазы выше, чем количество аланинаминотрансферазы, можно подозревать о нарушениях в работе сердечной мышцы.
Соотношение АЛТ и АСТ — важный показатель при проведении диагностики разных видов патологий. Анализ на эти ферменты может подтвердить заболевание и установит направление его развития и стадию поражения органа.
В каких случаях назначают анализ?
Биохимический анализ крови определяет уровень данных ферментов.
- Обычно применяют один вид исследования, если потребности в дополнительных нет. Таким исследованием становится анализ на аланинаминотрансферазу, так как АЛТ обладает выборочной тканевой локализацией.
Показатели анализа предупреждают о нарушениях в работе печени еще до появления основного признака – желтухи, поэтому исследования, определяющие содержание этих ферментов, назначаются, в основном, для диагностики печени:
- после длительного приема медицинских препаратов,
- взаимодействия с токсичными веществами,
- при диагностике гепатита.
Анализ крови на АЛТ и АСТ назначается при:
- быстрой утомляемости;
- тошноте;
- хронической усталости;
- болевых ощущениях в животе;
- общей слабости.
Для выявления дополнительных сведений о проблемах с печенью, необходимо определить коэффициент де Ритиса. Это название означает соотношение ферментов.
- Норма отношения аспартатаминотрансферазы к аланинаминотрансферазе (АЛТ к АСТ) должна быть не меньше 0,91 и не превышать 1,75.
- При превышении показателя больше 2, имеет место патология сердечной мышцы, которая сопровождается разрушением кардиомиоцитов. Может наблюдаться инфаркт Миокарда.
- При значении коэффициента меньше 1, диагностируют болезни печени. Чем меньше этот показатель, тем вероятнее негативный исход.
Рассматриваемый анализ может применяться как диагностический метод, так и непосредственно во время терапии, чтобы следить за течением болезни и динамикой выздоровления.
Анализ показан при наличии факторов, отрицательно влияющих на состояние печени. Среди них: алкоголизм и употребление лекарственных средств, разрушающих орган.
Анализ на аланинаминотрансферазу делают также в следующих случаях:
- контакт с человеком, болеющим гепатитом;
- недавнее перенесение гепатита;
- избыточная масса тела;
- диабет;
- предрасположенность к нарушениям работы печени.
Чтобы провести исследование, необходима или капиллярная, или венозная кровь. Достоверность результата зависит от соблюдения двух условий:
- за 12 часов до забора крови воздержаться от еды;
- за 7 дней до анализа исключить спиртное.
Непосредственно перед анализом (за 30 минут) нельзя
- курить;
- выдерживать повышенные физические или эмоциональные нагрузки.
Результат исследования АЛТ в крови можно узнать уже на следующий день после сдачи.
Норма аланинаминотрансферазы в зависимости от пола и возраста
Норма АЛТ в крови мужчин и женщин разная. Показатели указываются в единицах на литр.
- У сильного пола норма содержания аланинаминотрансферазы не должна превышать 45 ед/л.
- Для женщин эта норма составляет 34 ед/л.
- Норма АСТ – не более 41 ед/л у мужчин и 31 ед/л – у женщин.
В зависимости от возраста, норма аланинаминотрансферазы у детей также может отличаться.
| У малышей от рождения до 5 дней | не больше 49 ед/л |
| до 6 месяцев | до 56 ед/л |
| от 6 месяцев до года | 54 ед/л |
| от 1 до 3 лет | 33 ед/л |
| с 3 до 6 лет | 29 ед/л |
| с 12 лет | 39 ед/л |
Для ребенка допустимы незначительные отклонения от указанных показателей, которые могут объясняться скачками роста и развития.
Если установленная норма отличается от результатов исследования, это может быть следствием воспаления, приема некоторых лекарств (например, аспирина, парацетамола, противозачаточных таблеток у женщин), интенсивных физических нагрузок перед забором крови.
При каких заболеваниях повышена аланинаминотрансфераза?
Если анализ показывает повышение АЛТ, это говорит о наличии воспаления, которое может возникнуть при некоторых патологиях.
Гепатит
- Заболевание может выражаться в разных формах. Хроническая и инфекционная форма повышают уровень фермента незначительно.
- При алкогольном гепатите наблюдается существенное повышение аланинаминотрансферазы.
Онкологические заболевания печени
- Возникновение раковых опухолей часто встречается у людей, страдающих гепатитом.
- Если уровень фермента существенно превышает нормальные показатели, оперативное вмешательство может быть запрещено, так как возможны осложнения.
Панкреатит
- Диагноз обязывает больного регулярно проверять уровень АЛТ, чтобы предотвратить приступы патологии и следить за течением болезни.
Миокардит
- Заболевание характеризуется нарушением работы сердечной мышцы.
- Его основные признакаи — одышка, слабость, утомляемость, повышенный уровень АЛТ и АСТ.
Цирроз
- Эта болезнь особенно опасна отсутствием выраженной симптоматики своего развития. Выявить патологию на более ранних стадиях можно с помощью исследования на АЛТ.
Инфаркт Миокарда
- Возникает при нарушении кровообращения, следствием которого становится отмирание тканей.
- Если патология протекает без осложнений, уровень фермента повышается незначительно, однако, может применяться для установления причин приступа.
Другие причины повышения аланинаминотрансферазы
- прием барбитуратов и антибиотиков;
- злоупотребление фаст-фудом непосредственно перед забором крови;
- травмы, в результате которых было повреждение мышечной ткани;
- употребление спиртных напитков меньше чем за 7 дней до анализа;
- несоблюдение гигиенических требований проведения исследования;
- интенсивные физические и эмоциональные нагрузки;
- стеатоз;
- химиотерапия;
- употребление наркотиков;
- интоксикация солями тяжелых металлов.
Как понизить количество ферментов?
Чтобы уменьшить содержание аланинаминотрансферазы, нужно определить причину отклонения от нормы.
- Обратить внимание на состояние печени и сердца.
- После выявления и устранения причины, необходимо сделать повторный анализ.
- Допустимые показатели исследования скажут об успешном выздоровлении.
Заключение
Аланинаминотрансфераза – важный фермент, его количество в крови помогает определить состояние основных жизненных органов и вовремя устранить нарушения в их работе. Содержание АЛТ подтвердит или опровергнет заболевания сердца, печени, поджелудочной железы и других органов, повреждения которых могут быть выявлены не сразу, и без диагностики вызывают ряд серьезных осложнений.
Алт и аст: расшифровка, что значит повышение или понижение трансаминаз в биохимическом анализе крови
АСТ и АЛТ (в некоторых источниках – АсАТ и АлАТ) – важные показатели биохимического анализа крови человека, косвенно отражающие состояние внутренних органов. Это такие трансаминазы (ферменты), которые принимают активное участие в обмене веществ.
Превышение допустимых границ ферментов свидетельствует о повреждении внутренних органов (в частности, печени, сердца, скелетных мышц и т.д.). В статье вы найдете нормы содержания АЛТ и АСТ, расшифровку значений, полученных в результате анализа, что значит повышение или понижение аспартатаминотрансферазы и аланинаминотрансферазы.
Что такое АСТ в крови и что показывает
АСТ, или аспартатаминотрансфераза – это фермент, который принимает участие в превращении аспарагиновой аминокислоты в клетке. Наибольшее количество АсАТ содержится в миокарде (сердечной мышце), печени, почках и скелетных мышцах.
АСТ локализуется в митохондриях и цитоплазме клеток, в связи с этим при повреждении клетки он быстро обнаруживается в крови. Быстрое нарастание концентрации аспарагиновой аминотрансферазы очень характерно для острого повреждения миокарда (например, для инфаркта). Увеличение в крови фермента наблюдается спустя 8 часов с момента поражения и достигает своего максимума спустя сутки. Снижение концентрации АСТ при инфаркте происходит на 5 день.
Нарастание концентрации АСТ происходит не только при повреждении сердца. Это также наблюдается при разрушении клеток печени (например, в результате гепатита), реже – при заболеваниях почек.
Оценивать показатель АСТ нужно обязательно вместе с показателем АЛТ. Это так называемые «печеночные» пробы, по которым можно судить об активности процесса. Иногда повышение этих показателей является единственным симптомом, указывающим на развитие серьёзного заболевания.
Анализ на АСТ не является дорогостоящим, и его можно сдать абсолютно в любой лаборатории.
Что такое АЛТ в анализе крови
АЛТ, или аланинаминотрансфераза, в анализе крови – это внутриклеточный фермент, который участвует в метаболизме клеток, в частности – в расщеплении аминокислоты аланина. Больше всего аланиновой аминотрансферазы содержится в клетках печени, меньше – в миокарде, скелетной мускулатуре и почках.
Повышение АлАТ в анализе крови происходит при любом повреждении гепатоцитов (клеток печени). Повышение фермента наблюдается уже в первые часы после повреждения и постепенно возрастает в зависимости от активности процесса и количества поврежденных клеток.
Повышение аланиновой аминотрансферазы наиболее характерно для заболеваний печени (гепатиты различного происхождения, токсическое поражение, цирроз и т.д.).
В зависимости от концентрации АЛТ в биохимическом анализе крови можно судить о степени активности гепатита (гепатиты бывают с минимальной, средней или высокой степенью ферментативной активности), что обязательно указывается в клиническом диагнозе. Бывает, что гепатит протекает без повышения указанного фермента. Тогда говорят о поражении печени без ферментативной активности.
Если говорить в общем, показатели крови АЛТ и АСТ повышены при гепатитах и отражают степень цитолиза – разрушения печеночных клеток. Чем активнее цитолиз, тем менее благоприятен прогноз заболевания.
Нормы АсАТ и АлАТ в анализе крови
Референсные значения АСТ и АЛТ в норме очень низкие и зависят от пола и возраста. Например, оба показателя у мужчин выше, чем у женщин.
Таблица нормы АсАТ и АлАТ для взрослых мужчин и женщин:
| Содержание АЛТ, МЕ/л | Содержание АСТ, МЕ/л | |
| Женщины | 7 – 31 | 7 – 34 |
| Мужчины | 10 – 37 | 8 – 46 |
При повышении АСТ или АСТ у мужчин или женщин целесообразно посчитать коэффициент де Ритиса – соотношение АСТ к АЛТ (АсАТ/АлАТ). В норме его значение составляет 1,33±0,42.
Повышение коэффициента де Ритиса больше 2 говорит о поражении сердечной мышцы (то есть, АСТ преобладает над АЛТ). При инфаркте миокарда либо остром миокардите АСТ обычно повышается в 8-10 раз, а АЛТ всего в полтора-два раза.
Если же коэффициент де Ритиса менее 1 (то есть преобладает АЛТ), то можно смело гооврить о поражении гепатоцитов (клеток печени). Например, при активном вирусном гепатите концентрация АЛТ возрастает в 10 раз, в то время как АСТ превышает норму всего в 2-3 раза.
Как уже упоминалось выше, рассчитывать коэффициент правомочно только при повышении значений АЛТ или АСТ. Также необходимо помнить, что референсные значения биохимических показателей в каждой лаборатории разнятся и могут не совпадать с теми, что указаны выше.
Причины повышения АсАТ и АлАТ
Повышение аланиновой и аспарагиновой аминотрансферазы может повышаться при многих заболеваниях.
Причины повышения АСТ в анализе крови:
- Острый миокардит;
- Инфаркт миокарда;
- Тромбоэмболия лёгочной артерии;
- Острый ревмокардит;
- Нестабильная стенокардия;
- Различные миопатии;
- Травмы скелетной мускулатуры (сильные растяжения, разрывы);
- Миозит, миодистрофия;
- Разнообразные заболевания печени.
Причины повышения АЛТ в крови:
- Цирроз печени (токсический, алкогольный);
- Острый панкреатит;
- Холестаз, холестатическая желтуха;
- Алкогольное поражение печени;
- Жировой гепатоз;
- Острые и хронические вирусные гепатиты (гепатит С, гепатит В)
- Злокачественные новообразования печени и желчевыводящих путей, метастазы в печени;
- Алкоголизм;
- Тяжелые ожоги;
- Прием гепатотоксических лекарственных препаратов (пероральные контрацептивы, психотропные средства, противоопухолевые препараты, средства для химиотерапевтичсекого лечения, сульфаниламиды и т.д.)
При обнаружении высоких уровней АСТ и АЛТ в анализе крови необходимо незамедлительно обратиться к врачу для выяснения причины данного явления, поскольку повышение этих показателей зачастую значит наличие серьезных заболеваний.
Пониженные АсАТ и АлАТ
На практике иногда бывают случаи, когда показатели АсАТ или АлАТ становятся ниже нормы. Это может случиться при тяжелом и обширном некрозе печени (например, в случае запущенного гепатита). Особенно неблагоприятным прогнозом обладает снижение уровня АСТ и АЛТ на фоне прогрессирующего нарастания билирубина.
Важной причиной снижения аланиновой и аспарагиновой аминотрансферазы является истощение запасов витамина В6 – пиридоксина.
Дело в том, что витамин B6 необходим для синтеза АСТ и АЛТ в норме. Снижение концентрации В6 может быть связано с длительным лечением антибиотиками. Восполнить его дефицит можно при помощи лекарств (введение витамина внутримышечно) и диеты. Наибольшее количество пиридоксина содержится в проростках зерновых культур, фундуке, грецких орехах, шпинате, бобовых, сое, рыбе и яйцах.
Снижение печеночных ферментов может также происходить в результате травм печени (например, при разрыве органа). Однако такие состояния встречаются крайне редко.
Норма трансаминаз у ребёнка
Границы нормальных значений для АСТ и АЛТ во многом зависят от возраста ребенка:
| Возраст | Границы нормы АЛТ, мккат/л | Границы нормы АСТ, мккат/л |
| 0-6 недель | 0,37-1,21 | 0,15-0,73 |
| 6 недель – 1 год | 0,27-0,97 | 0,15-0,85 |
| 1 год – 15 лет | 0,20-0,63 | 0,25-0,6 |
Повышение активности АСТ и АЛТ в крови у ребенка, так же, как и у взрослых, свидетельствует о воздействии на гепатоциты повреждающих факторов. Но, в отличие от взрослых, это повышение редко бывает связано с острыми и хроническими гепатитами.
Рост АСТ и АЛТ в крови ребенка может свидетельствовать о наличии инфекционных заболеваний (лептоспироз, псевдотуберкулёз, инфекционный мононуклеоз), врожденных пороков развития.
Нередко повышение печеночных ферментов носит вторичный характер, то есть развивается вслед за какой-то патологией. К примеру, увеличение концентрации АСТ и АЛТ может встречаться при миокардиодистрофии, лейкозе, лимфогранулематозе, васкулите и т.д.
Случается, что АСТ и АЛТ у детей повышаются в ответ на прием некоторых лекарственных препаратов, например, аспирина, парацетамола. Также важно помнить о том, что АСТ и АЛТ могут оставаться повышенными в течение определенного времени после выздоровления от инфекционного заболевания.
Аст и алт при беременности
Повышение АСТ и АЛТ при беременности может быть первым симптомом гестоза – состояния, которое угрожает жизни матери и плода. Поэтому даже незначительное повышение концентрации трансаминаз требует срочной консультации врача. Он оценит состояние здоровья будущей матери, отследит показатели в динамике и, если нужно, назначит обследование.
В крови беременной женщины повышается концентрация гормона эстрогена, который оказывает влияние на печень (особенно это характерно для первого триместра). Именно поэтому небольшое превышение уровней АСТ и АЛТ на ранних сроках беременности считается нормой.
Что же касается третьего триместра, то на этом сроке повышения трансаминаз быть не должно. Если в этот период появляются отклонения в биохимическом анализе, нужно без промедления обследовать женщину, чтобы не упустить начало развития гестоза.
Подготовка к сдаче анализа
Результат любого биохимического анализа, в том числе и анализа крови на АсАТ и АлАТ, во многом зависит от того, как к нему подготовиться.
Правила, соблюдение которых поможет избежать ложных результатов исследования:
- Сдавать анализы необходимо строго натощак, минимум после 8-часового голодания. Допускается пить чистую воду в любом количестве. Кофе, газированные напитки, соки и чаи на период подготовки рекомендуется исключить. Что касается алкогольных напитков, то их не рекомендуется употреблять за неделю до забора крови на АСТ и АЛТ.
- В течение 3-х суток исключите из своего рациона пищу, богатую животными жирами. Принимайте пищу, приготовленную на пару, запеченную или отварную. Жареное необходимо строго ограничить, а лучше – полностью исключить.
- За трое суток до предполагаемого анализа надо отменить интенсивные физические нагрузки.
- Забор крови должен быть осуществлен в утреннее время, с 7 до 11 часов утра.
- Если вы принимаете лекарственные препараты, их желательно отменить за 3 дня до исследования. Но перед этим важно посоветоваться с врачом.
- Старайтесь сдавать анализы в одной и той же лаборатории.
- Получив результат на руки, обязательно обратитесь к своему врачу, чтобы правильно интерпретировать результаты и, при необходимости, продолжить обследование.
Аланинаминотрансфераза (АЛТ)
[06-003] Аланинаминотрансфераза (АЛТ)
270 руб.
Аланинаминотрансфераза (АЛТ) – фермент, который находится во всех клетках организма, главным образом в печени и почках, меньше его в сердце и мышцах. В норме активность АЛТ в крови очень низкая. При проблемах с печенью фермент высвобождается в кровоток обычно еще до появления таких характерных симптомов, как желтуха. В связи с этим АЛТ часто используется как показатель повреждения печени.
- Синонимы русские
- Глутамат-пируват-трансаминаза, глутамат-пируват-трансаминаза в сыворотке, СГПТ.
- Синонимы английские
- Alanine aminotransferase, Serum glutamic-pyruvic transaminase, SGPT, Alanine transaminase, AST/ALT ratio.
- Метод исследования
- УФ кинетический тест.
- Единицы измерения
- Ед/л (единица на литр).
- Какой биоматериал можно использовать для исследования?
- Венозую, капиллярную кровь.
- Как правильно подготовиться к исследованию?
- Не принимать пищу в течение 12 часов перед анализом.
- Исключить физическое и эмоциональное перенапряжение за 30 минут до исследования.
- Не курить в течение 30 минут до исследования.
Общая информация об исследовании
Аланинаминотрансфераза (АЛТ) – это фермент, который присутствует главным образом в клетках печени и почек и в заметно меньших количествах в клетках сердца и мышц. У здоровых людей активность в крови невелика, норма АЛТ имеет низкие значения.
При поражении клеток ткани печени АЛТ высвобождается в кровоток обычно еще до появления таких характерных симптомов, как желтуха. В связи с этим активность данного фермента используется в качестве показателя повреждений печени.
Вместе с другими исследованиями, выполняющими те же задачи, анализ на АЛТ входит в состав так называемых печеночных проб.
Печень является жизненно важным органом, который расположен в верхней правой части брюшной полости. Она участвует в осуществлении многих важных функций организма – в переработке питательных веществ, производстве желчи, синтезе белков, таких как факторы свертывающей системы крови, а также расщепляет потенциально токсичные соединения до безопасных веществ.
Ряд заболеваний приводит к повреждению клеток печени, что способствует повышению активности АЛТ.
Наиболее часто анализ на АЛТ назначают, чтобы проверить, не повреждена ли печень при гепатите и приеме лекарственных препаратов либо иных веществ, которые являются токсичными для данного органа. Однако АЛТ не всегда отражает только повреждения печени, активность этого фермента может повышаться и при заболеваниях других органов.
АСТ и АЛТ считаются двумя наиболее важными показателями повреждений печени, хотя АЛТ более специфичен, чем АСТ. В некоторых случаях АСТ напрямую сопоставляется с АЛТ и вычисляется их соотношение (АСТ/АЛТ). Оно может использоваться для выявления причин повреждения печени.
Для чего используется исследование?
- Для выявления повреждения ткани печени при вирусных и токсических гепатитах, других заболеваниях. Как правило, тест на АЛТ назначается вместе с анализом на аспартатаминотрансферазу (АСТ).
- Для контроля за эффективностью лечения заболеваний печени.
Когда назначается исследование?
- При симптомах заболеваний печени:
- слабости, утомляемости,
- потере аппетита,
- тошноте, рвоте,
- боли в животе и его вздутии,
- пожелтении кожи и глазных белков,
- моче темного цвета, светлоокрашенном стуле,
- зуде.
- При наличии факторов, повышающих риск болезней печени:
- ранее перенесенном гепатите либо недавнем контакте с гепатитной инфекцией,
- чрезмерном употреблении алкоголя,
- наследственной предрасположенности к заболеваниям печени,
- приеме лекарств, которые могут повреждать печень,
- избыточном весе либо диабете.
- Регулярно в течение всего процесса лечения для определения его эффективности.
Что означают результаты?
Референсные значения (норма АЛТ для мужчин, женщин и детей):
| Возраст, пол | Референсные значения | |
| 0 — 1 год | < 56 Ед/л | |
| 1 — 4 года | < 29 Ед/л | |
| 4 — 7 лет | < 29 Ед/л | |
| 7 — 13 лет | < 37 Ед/л | |
| 13 — 18 лет | < 37 Ед/л | |
| > 18 лет | мужчины | < 41 Ед/л |
| женщины | < 33 Ед/л |
В норме активность АЛТ в крови очень низкая.
Причины повышенной активности АЛТ:
- вирусные инфекции (чрезмерно высокая активность АЛТ – более чем в 10 раз больше нормы – наблюдается, например, при острых гепатитах; при хроническом гепатите оно обычно превышает норму не более чем в 4 раза);
- прием лекарств или иных веществ, которые являются токсичными для печени;
- болезни, замедляющие приток крови к печени (ишемии);
- непроходимость желчных путей, цирроз (обычно в результате хронического гепатита или закупорки желчных путей) и опухоль печени (умеренное повышение АЛТ).
При большинстве заболеваний печени активность АЛТ выше активности АСТ, так что соотношение АСТ/АЛТ будет низким. Однако существует несколько исключений: алкогольный гепатит, цирроз и повреждение мышц.
Важные замечания
- Внутримышечные инъекции, а также интенсивная физическая нагрузка могут повышать активность АЛТ в организме.
- У некоторых пациентов повреждение печени и, как следствие, увеличение активности АЛТ может быть вызвано приемом БАД. Поэтому необходимо информировать лечащего врача не только обо всех принимаемых лекарствах, но и о пищевых добавках. Кроме того, частое употребление фастфуда способно приводить к незначительному повышению активности АЛТ посредством повреждения печени; в случае нормализации питания активность АЛТ возвращается к норме.
- Также рекомендуется
- Кто назначает исследование?
- Врач общей практики, терапевт, гастроэнтеролог, инфекционист, гематолог, эндокринолог, хирург.